我发现我好喜欢浅谈(逃
基本概念
对一个有向无环图 (DAG) ((Directed Acyclic Graph)) 进行拓扑排序,是将G中所有顶点排成一个线性序列,使得图中任意一对顶点 (u) 和 (v),若边 (<u,v>∈E(G)),则 (u) 在线性序列中出现在 (v) 之前。通常,这样的线性序列称为满足拓扑次序 ((Topological Order)) 的序列,简称拓扑序列。简单的说,由某个集合上的一个偏序得到该集合上的一个全序,这个操作称之为拓扑排序。
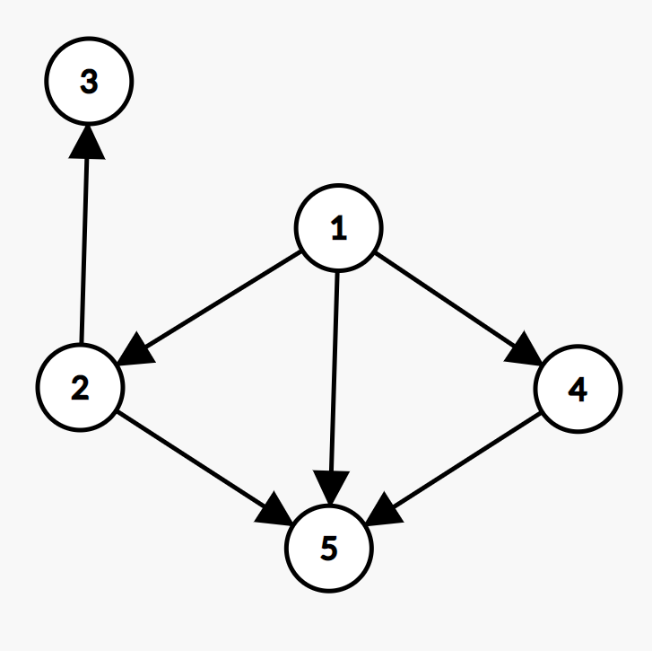
实话说我没看懂,我们可以换一种更加通俗的说法。假设一个 (DAG),如下。

然后你可以把它看成某个鬼杀士的学习任务表:
任务1:掌握全集中呼吸方式。
任务2:掌握由全集中呼吸衍生出的日之呼吸。
任务3:掌握日之呼吸十三式。
任务4:掌握某些由全集中呼吸衍生出的普通刀法。
任务5:让刀法与日之呼吸相结合,开创火之神神乐。
哈!你哪怕没看过鬼灭安利,你也能大概分辨出完成任务2需要先完成任务1,完成任务3需要先完成任务2,完成任务4需要先完成任务1,完成任务5需要先完成任务2和任务4。
这样看来,上图的 (DAG) 其实就是描述了5个任务的完成先后关系。而拓扑排序的用处就是让我们求出一个完成任务的先后顺序。这个顺序一定满足:完成当前任务时,它所需要完成的前置任务一定都被完成了。而我们称这样的顺序为拓扑序,显然每个 (DAG) 的拓扑序可能不止一种。
上图的其中一种拓扑序为:1,2,4,3,5。
你会发现,这是不是很像 (BFS) 序!其实拓扑排序的算法思路就和 (BFS) 有点像。
算法思路
我们依然以那个学习任务表为例。在什么情况下当前任务才可以完成?当它的前置任务都完成时即可。放到 (DAG) 中,如果一个点能被“完成”,则代表所有有边指向它的点都被完成了。那如果我们每完成一个点就删除所有以它为起点的边,你会发现,下一次能被完成的点入度一定为0!
所以我们可以直接使用这个算法思路进行实现。首先找到一开始入度为0的点,将它加入拓扑序。删除以他为起点的所有边(相当于 (BFS) 中得到一个点就向四周拓展的思路。然后在不在拓扑序中的点中找到下一个入度为0的点,然后……直到所有的点都加入拓扑序,则现在的拓扑序就是我们要求的顺序。
而如果有一次找不到入度为0的点了怎么办?那就是有环了!因为在删除了所有除环以外的点后,环上的每一个点的入度一定恒为1。你就再也找不到入度为0的点了。可以看看下图。删除4后会发生什么/xyx

于是乎……
具体实现
#include <cstdio>
#include <vector>
using namespace std;
const int MAXN = 10005;
vector<int> DAG[MAXN]; // 有向无环图,邻接表
void Add_Edge(int u, int v) {
DAG[u].push_back(v); // 存边
}
int In_Degree[MAXN];
// 保存每个点的入度
bool vis[MAXN];
// 记录当前点是否在拓扑序中
int Topological_Order[MAXN], len_TPO = 0;
// 保存拓扑序及拓扑序长度
int n, m;
// n个点,m条边
bool flag = false;
// 判环
void Topological_Sort() {
for(int i = 1; i <= n; i++) {
int index = -1;
for(int j = 1; j <= n; j++) {
if(!vis[j] && In_Degree[j] == 0) {
// 未在拓扑序中,而入度为0
index = j;
break;
}
}
if(index == -1) { // 没有找到,表示有环
flag = true;
return ;
}
vis[index] = true; // 加入拓扑序
Topological_Order[++len_TPO] = index;
for(int j = 0; j < DAG[index].size(); j++) {
int end = DAG[index][j];
In_Degree[end]--;
// 以index为起点的边的终点的入度减一
}
}
}
int main() {
scanf ("%d %d", &n, &m);
for(int i = 1; i <= m; i++) {
int u, v;
// 起点为u,终点为v的边
scanf ("%d %d", &u, &v);
Add_Edge(u, v);
In_Degree[v]++; // 入度加一
}
Topological_Sort();
if(!flag) {
for(int i = 1; i <= len_TPO; i++)
printf("%d ", Topological_Order[i]);
}
else
printf("No solution");
return 0;
}
多么美丽的代码~(逃
不过上面 (O(n^2)) 代码是可以优化的,我们可以将所有的已知的入度为0的点放进队列。然后直接在队列里操作就行了,不用每次都遍历。话说,上面的代码长得像不像Dijkstra
优化
#include <cstdio>
#include <vector>
#include <queue>
using namespace std;
const int MAXN = 10005;
vector<int> DAG[MAXN]; // 有向无环图,邻接表
void Add_Edge(int u, int v) {
DAG[u].push_back(v); // 存边
}
int In_Degree[MAXN];
// 保存每个点的入度
int Topological_Order[MAXN], len_TPO = 0;
// 保存拓扑序及拓扑序长度
int n, m;
// n个点,m条边
bool flag = false;
// 判环
queue<int> q;
// 记录入度为0的点
void Topological_Sort() {
for(int i = 1; i <= n; i++)
if(In_Degree[i] == 0) // 入队
q.push(i);
while(!q.empty()) {
int index = q.front(); // 取出队头
q.pop();
Topological_Order[++len_TPO] = index;
// 放入拓扑序
for(int i = 0; i < DAG[index].size(); i++) {
int end = DAG[index][i];
In_Degree[end]--; // 更新相连边的终点入度
if(In_Degree[end] == 0)
q.push(end) // 入队
}
}
if(len_TPO != n) {
// 队列为空,但还有点未进入拓扑序,说明有环
flag = true;
return ;
}
}
int main() {
scanf ("%d %d", &n, &m);
for(int i = 1; i <= m; i++) {
int u, v;
// 起点为u,终点为v的边
scanf ("%d %d", &u, &v);
Add_Edge(u, v);
In_Degree[v]++; // 入度加一
}
Topological_Sort();
if(!flag) {
for(int i = 1; i <= len_TPO; i++)
printf("%d ", Topological_Order[i]);
}
else
printf("No solution");
return 0;
}
其实你会发现,两个代码得出的拓扑序是不一样的,但经过验证发现都是对的,这也再次说明了拓扑序不具有唯一性。
完结撒花~ 把义忍给爷锁死