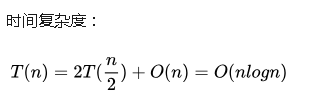
初次接触请点击:一小时学会快速傅里叶变换(Fast Fourier Transform)
关键字:多项式系数表达法与点值表达法(有关插值可行性的证明),复数,单位根,n次单位向量,折半引理,消去引理,





蝴蝶操作(为减小常数、空间)
复数类型可以自己实现,也可以使用C++自带STL库中的complex ,详细见:C++STL complex吃书使用指南
小注意点:
1、最终的n为2的整数次幂(否则单位根数组下标会有分数的类似情况,很不好处理。数组下标不能为实型)。
2、因为运算多次设计复数,要注意各个运算符链接的数的类型。
3、注意精度,对一个double型数a四舍五入取整,可直接(int)(a+0.5) ,这是精度最高的一种方法。
4、最后答案的形式多为整数,注意这时整数的规模范围为 做乘法前的多项式中单个的系数规模 的平方 再乘项数(总之多半情况会很大,int型容易爆)
题目:P1919 【模板】A*B Problem升级版(FFT快速傅里叶)
1 #include<complex> 2 #include<iostream> 3 #include<cstdio> 4 #include<cmath> 5 #include<cstring> 6 // *标记为FFT重点代码 7 using namespace std; 8 9 const int N=524288; 10 11 const double PI=acos(-1); 12 13 14 double a[N],b[N]; 15 16 long long ans[N]; 17 18 char num[1000005]; 19 int w1,w2,n; 20 21 complex<double>omege[N],reomege[N],d[N],c[N]; 22 23 void init() 24 { 25 scanf("%s",num); 26 int l=strlen(num); 27 while(l>4) 28 { 29 a[w1]=(num[l-4]-'0')*1000+(num[l-3]-'0')*100+(num[l-2]-'0')*10+num[l-1]-'0'; 30 l-=4; 31 c[w1]=a[w1]; 32 w1++; 33 } 34 if(l) 35 { 36 for(int i=0;i<l;++i) 37 a[w1]=a[w1]*10+num[i]-'0'; 38 c[w1]=a[w1]; 39 w1++; 40 } 41 scanf("%s",num); 42 l=strlen(num); 43 while(l>4) 44 { 45 b[w2]=(num[l-4]-'0')*1000+(num[l-3]-'0')*100+(num[l-2]-'0')*10+num[l-1]-'0'; 46 d[w2]=b[w2]; 47 l-=4; 48 w2++; 49 } 50 if(l) 51 { 52 for(int i=0;i<l;++i) 53 b[w2]=b[w2]*10+num[i]-'0'; 54 d[w2]=b[w2]; 55 w2++; 56 } 57 n=w1+w2-1; 58 n=1<<((int)ceil(log(n)/log(2))); 59 for(int i=0;i<n;++i)//* 60 { 61 omege[i]=complex<double>(cos(2*PI/n*i),sin(2*PI/n*i)); 62 reomege[i]=conj(omege[i]); 63 } 64 } 65 66 inline void FFT(complex<double> *a,complex<double> *omege)//* 67 { 68 for(int i=0,j=0;i<n;++i) 69 { 70 if(i>j) swap(a[i],a[j]); 71 for(int l=n>>1;(j^=l)<l;l>>=1);//反向加1 72 } 73 complex<double> k; 74 for(int l=2;l<=n;l<<=1) 75 { 76 for(int i=0;i<n;i+=l) 77 for(int j=i;j<i+l/2;++j) 78 { 79 k=omege[n/l*(j-i)]*a[j+l/2]; 80 a[j+l/2]=a[j]-k; 81 a[j]=a[j]+k; 82 } 83 } 84 } 85 86 int main() 87 { 88 init(); 89 FFT(c,omege); 90 FFT(d,omege); 91 for(int i=0;i<n;++i)//* 92 c[i]*=d[i]; 93 FFT(c,reomege); 94 for(int i=0;i<n;++i)//* 95 c[i]/=n; 96 int l=w1+w2-1; 97 for(int i=0;i<l;++i) 98 { 99 ans[i]+=c[i].real()+0.5; 100 if(ans[i]>=10000) 101 { 102 ans[i+1]+=ans[i]/10000; 103 ans[i]%=10000; 104 } 105 } 106 while(!ans[l]&&l) 107 --l; 108 printf("%d",ans[l--]); 109 while(l>=0) 110 printf("%04d",ans[l--]); 111 return 0; 112 }