题目描述
C 国有 n 个大城市和 m 条道路,每条道路连接这 n 个城市中的某两个城市。任意两个
城市之间最多只有一条道路直接相连。这 m 条道路中有一部分为单向通行的道路,一部分
为双向通行的道路,双向通行的道路在统计条数时也计为 1 条。
C 国幅员辽阔,各地的资源分布情况各不相同,这就导致了同一种商品在不同城市的价
格不一定相同。但是,同一种商品在同一个城市的买入价和卖出价始终是相同的。
商人阿龙来到 C 国旅游。当他得知同一种商品在不同城市的价格可能会不同这一信息
之后,便决定在旅游的同时,利用商品在不同城市中的差价赚回一点旅费。设 C 国 n 个城
市的标号从 1~ n,阿龙决定从 1 号城市出发,并最终在 n 号城市结束自己的旅行。在旅游的
过程中,任何城市可以重复经过多次,但不要求经过所有 n 个城市。阿龙通过这样的贸易方
式赚取旅费:他会选择一个经过的城市买入他最喜欢的商品――水晶球,并在之后经过的另
一个城市卖出这个水晶球,用赚取的差价当做旅费。由于阿龙主要是来 C 国旅游,他决定
这个贸易只进行最多一次,当然,在赚不到差价的情况下他就无需进行贸易。
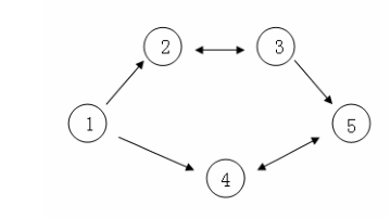
假设 C 国有 5 个大城市,城市的编号和道路连接情况如下图,单向箭头表示这条道路
为单向通行,双向箭头表示这条道路为双向通行。

假设 1~n 号城市的水晶球价格分别为 4,3,5,6,1。
阿龙可以选择如下一条线路:1->2->3->5,并在 2 号城市以 3 的价格买入水晶球,在 3
号城市以 5 的价格卖出水晶球,赚取的旅费数为 2。
阿龙也可以选择如下一条线路 1->4->5->4->5,并在第 1 次到达 5 号城市时以 1 的价格
买入水晶球,在第 2 次到达 4 号城市时以 6 的价格卖出水晶球,赚取的旅费数为 5。
现在给出 n 个城市的水晶球价格,m 条道路的信息(每条道路所连接的两个城市的编号
以及该条道路的通行情况)。请你告诉阿龙,他最多能赚取多少旅费。
输入输出格式
输入格式:
第一行包含 2 个正整数 n 和 m,中间用一个空格隔开,分别表示城市的数目和道路的
数目。
第二行 n 个正整数,每两个整数之间用一个空格隔开,按标号顺序分别表示这 n 个城
市的商品价格。
接下来 m 行,每行有 3 个正整数,x,y,z,每两个整数之间用一个空格隔开。如果 z=1,
表示这条道路是城市 x 到城市 y 之间的单向道路;如果 z=2,表示这条道路为城市 x 和城市
y 之间的双向道路。
输出格式:
输出文件 trade.out 共 1 行,包含 1 个整数,表示最多能赚取的旅费。如果没有进行贸易,
则输出 0。
输入输出样例
5 5 4 3 5 6 1 1 2 1 1 4 1 2 3 2 3 5 1 4 5 2
5
说明
【数据范围】
输入数据保证 1 号城市可以到达 n 号城市。
对于 10%的数据,1≤n≤6。
对于 30%的数据,1≤n≤100。
对于 50%的数据,不存在一条旅游路线,可以从一个城市出发,再回到这个城市。
对于 100%的数据,1≤n≤100000,1≤m≤500000,1≤x,y≤n,1≤z≤2,1≤各城市
水晶球价格≤100。
-
题目上说要找一条路径上的差值最大,所以应该想到建两个图找最大值与最小值
-
所以就想到要找到每个节点的可到达的最大值与最小值
-
我这里用的是两个BFS,一个正向的BFS找最小值,一个反向的BFS找最大值
- BFS中每一次记录这个节点的下一个节点与这个一个节点的权值的最小值(最大值)
需要注意的是就算之前已经走过这个节点也需要再比较是否需要更新因为可能会有双向边
还有就是不能直接给Max,Min赋值为d,然后在SPFA中比较
要在SPFA中把d值带入比较,真是玄学
1 #include<iostream> 2 #include<cstdio> 3 #include<cstring> 4 #include<algorithm> 5 #include<queue> 6 using namespace std; 7 struct Node 8 { 9 int next,to; 10 }edge1[1000001],edge2[1000001]; 11 int Min[100001],d[100001],ans,n,m,num1,head1[100001],num2,head2[100001],Max[100001]; 12 bool vis[100001]; 13 void add1(int u,int v) 14 { 15 num1++; 16 edge1[num1].next=head1[u]; 17 head1[u]=num1; 18 edge1[num1].to=v; 19 } 20 void add2(int u,int v) 21 { 22 num2++; 23 edge2[num2].next=head2[u]; 24 head2[u]=num2; 25 edge2[num2].to=v; 26 } 27 void SPFA1() 28 {int i; 29 queue<int> Q; 30 Q.push(1); 31 Min[1]=d[1]; 32 while (Q.empty()==0) 33 { 34 int u=Q.front(); 35 Q.pop(); 36 for (i=head1[u];i;i=edge1[i].next) 37 { 38 int v=edge1[i].to; 39 Min[v]=min(min(d[u],d[v]),Min[u]); 40 if (vis[v]==0) 41 { 42 Q.push(v); 43 vis[v]=1; 44 } 45 } 46 } 47 } 48 void SPFA2() 49 {int i; 50 memset(vis,0,sizeof(vis)); 51 queue<int> Q; 52 Q.push(n); 53 Max[n]=d[n]; 54 while (Q.empty()==0) 55 { 56 int u=Q.front(); 57 Q.pop(); 58 for (i=head2[u];i;i=edge2[i].next) 59 { 60 int v=edge2[i].to; 61 Max[v]=max(max(d[u],d[v]),Max[u]);//这里不能预处理Max写成Max[v]=max(Max[v],Max[u])的形式 62 if (vis[v]==0) 63 { 64 Q.push(v); 65 vis[v]=1; 66 } 67 } 68 } 69 } 70 int main() 71 {int x,y,z,i; 72 cin>>n>>m; 73 for (i=1;i<=n;i++) 74 { 75 scanf("%d",&d[i]); 76 Min[i]=2e9; 77 Max[i]=0; 78 } 79 for (i=1;i<=m;i++) 80 { 81 scanf("%d%d%d",&x,&y,&z); 82 add1(x,y); 83 add2(y,x); 84 if (z==2) 85 add1(y,x),add2(x,y); 86 } 87 SPFA1(); 88 SPFA2(); 89 for (i=1;i<=n;i++) 90 ans=max(ans,Max[i]-Min[i]); 91 //cout<<Max[i]<<' '<<Min[i]<<endl; 92 cout<<ans; 93 }