函数在其定 义域的某些局部区域所达到的相对 最大值或相对最小值。当函数在其 定义域的某一点的值大于该点周围 任何点的值时,称函数在该点有极 大值; 当函数在其定义域的某一点的值小于该点周围任何点的值时, 称函数在该点有极小值。这里的极 大和极小只具有局部意义。因为函 数的一个极值只是它在某一点附近 的小范围内的极大值或极小值。函 数在其整个定义域内可能有许多极 大值或极小值,而且某个极大值不 一定大于某个极小值。
单变量函数
极值点
单变量函数的最值问题较为简单,如果一有个函数f(x),那么它的最值可能是函数的边界点或驻点。
假设f(x) = 2x2 + x,求f(x)的最小值。

这个函数中x∈(-∞,+∞),由图像可知,f(x)没有边界点,所以其驻点就是最小值。驻点是导数为0的点,在该点处,函数的变化率为0:


当x=-1/4时,f(x)有最小值-1/8。
极大还是极小
当然,极值是个局部概念,是相对于临近点的最小点,是否是最值就不一定了:

上图中ABCDEF几个点的导数都是0,它们的导数都是0,都是极值点,但只有B是最小点,最大点在无穷远端。现在问题来了,上图中B和C都是极值点,如果不作图的话,怎样判断最小值和最大值呢?
假设我们取到了一个极值点f(x0),对于x0的临近点x0 + β来说,f(x0 + β)在x0出的泰勒展开(关于泰勒公式可参考《单变量微积分笔记31——幂级数和泰勒级数》):

由于越展开,项的值越小,所以可以仅展开到二阶导数:

我们已经假定f(x0)是极值点(f’(x0) = 0),所以上式可以进一步化简为:

如果f(x0)是极小值点,那么必然有f(x0 + β) > f(x0),由于β2/2! > 0,所以f’’(x0) > 0;反之,如果f(x0)是极大值点,那么f’’(x0) < 0;如果f’’(x0) = 0,则有可能是一个拐点(多变量中也叫鞍点)。更多关于单变量函数的极值问题,可参考:《单变量微积分笔记7——曲线构图》《单变量微积分笔记8——最值问题和相关变率》
多变量函数的极值
极值点
与单变量函数类似,极值点只能在函数不可导的点或导数为零的点上取得。

对于一个多元函数f,如果有一个点满足f所有自变量的偏导都同时为0,那么这个点被称为f的临界点,也称为驻点。
对于二元函数f(x, y)来说,临界点(x0, y0)满足:
需要注意的是,导数为0的点仅仅是潜在的极值点,它也可能是鞍点,此时不是极大值也不是极小值:

极大还是极小
通常使用二阶导数判断多变量函数的极值。f(x, y)的一个临界点是(x0, y0),即fx(x0, y0) = 0 && fy(x0, y0) = 0,f的二阶导数是fxx,fxy,fyy现在:

该临界点有如下结论:

更多关于多变量函数的极值问题,可参考:《多变量微积分笔记3——二元函数的极值》
海森矩阵
想要判断临界点是极大值还是极小值,最直观的方式当然是作图,但是二元函数通常很难作图,更多元的函数甚至无法作图,这就需要使用更高级的方法,这将涉及到海森矩阵(Hessian Matrix)。
海森矩阵是啥?
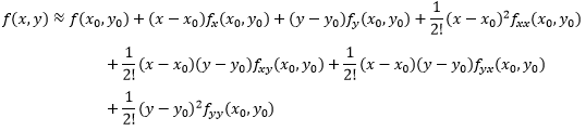
泰勒公式也可以推广到多元函数,二元函数f(x,y)也可以在点(x0, y0)处开展开,展开形式与一元函数类似,只不过导数变成了偏导,所以泰勒的一阶展开式是:
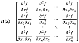
f(x, y)的高阶导数可以分为4个子式,以二阶导数为例,f(x, y)的二阶导数共有包括混合偏导在内的22个函数:
由此得到了泰勒的二阶展开式:
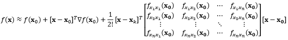
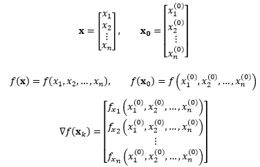
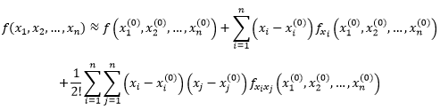
需要注意的是,混合偏导的系数也是混合的:(x– x0)(y – y0)。类似地,n阶偏导有2n个函数,其系数也相应的变化,在大多数时候只需要二阶展开。泰勒展开也可以推广到更多元函数,f(x1,x2,…xn)在(x1(0),x2(0),…xn(0))处的二阶泰勒展开是:
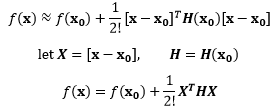
我们希望把这个过于繁琐的展开式改写成较为简单的矩阵形式:
现在用矩阵代替原式:
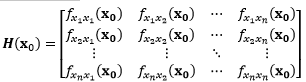
把中间那个n阶方阵用H代替:
最终,多元函数的二阶泰勒展开式可以写成:
H(x0)就是传说中的Hessian Matrix,被翻译成海森矩阵或黑塞矩阵,它是一个二阶导方阵。更多的时候,我们看到的是用莱布尼茨的方法表达海森矩阵:
判断极值
假设x0是多元函数f的临界点,泰勒公式在x0处展开。由于临界点的一阶导数为0,所以f(x)的展开式是:
现在,极值的判定法和单变量函数一致了:
如果XTHX大于0,意味着f(x0) < f(x),即临界点小于附近的点,此时临界点是极小值;如果XTHX小于0,意味着f(x0) > f(x),即临界点大于附近的点,此时临界点是极大值;如果XTHX等于0,意味着f(x0) = f(x),临界点既不是极大值也不是极小值。
作者:我是8位的
出处:http://www.cnblogs.com/bigmonkey
本文以学习、研究和分享为主,如需转载,请标明作者和出处,非商业用途!
扫描二维码关注公众号“我是8位的”
