非线性假设
为什么需要学习这个算法
非线性拟合
- 多项式
多项式拟合参数个数大于特征个数 - 神经网络
当特征个数过大时,多项式拟合参数过多
二次项的个数大约是,为特征的个数。
三次项个数大约是
神经元与大脑
大脑能够通过同一套算法处理不同类型的信号(听觉、触觉、视觉)。
模型展示 1
参数与权重
模型的权重和参数是一个意思。
神经网络

参数矩阵的大小
,为第层的单元数
第二层

第三层

模型展示 2
如何高效进行计算,以及一个向量化实现的方式。
明白如何学习复杂的非线性假设函数。
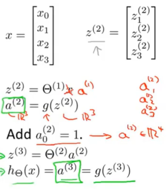
矩阵表示

前向传播
从第一层到最后一层的计算过程也叫前向传播。
神经网络与logistics回归
每层的每个单元的计算与logistics回归有相同的形式,但是输入不是,而是上一层单元的输出
例子与直觉理解 1
- 神经网络是怎么样计算的
- 为什么能够用来学习复杂的非线性假设模型
神经网络是如何学习复杂非线性假设模型的

拟合的目标:

AND运算
令



例子与直觉理解2
NOT运算

XNOR运算
