欢迎关注WX公众号:【程序员管小亮】
【机器学习】《机器学习实战》读书笔记及代码 总目录
GitHub代码地址:
——————————————————————————————————————————————————————
目录
本章内容
- 线性回归
- 局部加权线性回归
- 岭回归和逐步线性回归
- 预测鲍鱼年龄和玩具售价
1、回归
前面的章节介绍了分类(前七章其实都是分类,不知道你看出来了没有),分类 的目标变量是 标称型数据,而这一次我们将会对 连续型数据 做出预测,也就是回归。

很多人的第一想法很可能是:“回归能用来做些什么呢?”。我的观点是,回归可以做任何事情。然而大多数公司常常使用回归法做一些比较沉闷的事情,例如销售量预测或者制造缺陷预测。比如:

我最近看到一个比较有新意的应用,就是预测名人的离婚率(我不会被律师函警告吧…)。
2、用线性回归找到最佳拟合直线
线性回归
优点:结果易于理解,计算上不复杂。
缺点:对非线性的数据拟合不好。
适用数据类型:数值型和标称型数据。
回归的目的是预测数值型的目标值。最直接的办法是依据输入写出一个目标值的计算公式。比如假设你想要预测姐姐男友汽车的功率大小,可能会这么计算:

这就是所谓的 回归方程(regression equation),其中的 0.0015和 -0.99称作 回归系数(regressionweights),求这些回归系数的过程就是 回归。一旦有了这些回归系数,方程就确定了,如果再给定输入变量,则做预测就非常容易了。具体的做法是用回归系数乘以输入值,再将结果全部加在一起,就得到了预测值。
说到 回归,一般都是指 线性回归(linear regression),所以这里的回归和线性回归代表同一个意思。线性回归意味着可以将输入项分别乘以一些常量,再将结果加起来得到输出。
需要说明的是,存在另一种称为 非线性回归 的回归模型,该模型不认同上面的做法,比如认为输出可能是输入的乘积。这样,上面的功率计算公式也可以写做:

这就是一个非线性回归的例子,不过我们这里不做深入讨论。
回归的一般方法
(1) 收集数据:采用任意方法收集数据。
(2) 准备数据:回归需要数值型数据,标称型数据将被转成二值型数据。
(3) 分析数据:绘出数据的可视化二维图将有助于对数据做出理解和分析,在采用缩减法求得新回归系数之后,可以将新拟合线绘在图上作为对比。
(4) 训练算法:找到回归系数。
(5) 测试算法:使用R2或者预测值和数据的拟合度,来分析模型的效果。
(6) 使用算法:使用回归,可以在给定输入的时候预测出一个数值,这是对分类方法的提升,因为这样可以预测连续型数据而不仅仅是离散的类别标签。
那么应当怎样从一大堆数据里求出回归方程呢?假定输入数据存放在矩阵X中,而回归系数存放在向量 中。那么对于给定的数据 ,预测结果将会通过 给出。现在的问题是,手里有一些 和对应的 ,怎样才能找到 呢?
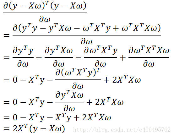
一个常用的方法就是找出使误差最小的 。这里的误差是指预测 值和真实 值之间的差值,使用该误差的简单累加将使得正差值和负差值相互抵消,所以采用平方误差。
平方误差可以写做:

用矩阵表示还可以写做:

如果对 求导,得到

令其等于零,解出 如下:

值得注意的是,上述公式中包含逆矩阵,也就是需要对矩阵求逆,因此这个方程只在逆矩阵存在的时候适用。然而,矩阵的逆可能并不存在,因此必须要在代码中对此作出判断。
w上方的小标记表示,这是当前可以估计出的w的最优解。从现有数据上估计出的w可能并不是数据中的真实w值,所以这里使用了一个“帽”符号来表示它仅是w的一个最佳估计。这是统计学中的常见问题,除了矩阵方法外还有很多其他方法可以解决。通过调用NumPy库里的矩阵方法,仅使用几行代码就完成所需功能。该方法也称作OLS,意思是 “普通最小二乘法”(ordinary least squares)。
下面可视化一下数据:

第一列都为1.0,即x0。第二列为x1,即x轴数据。第三列为x2,即y轴数据。
先绘制下数据,看下数据分布。编写代码如下:
import matplotlib.pyplot as plt
import numpy as np
# 加载数据
def loadDataSet(fileName):
"""
Parameters:
fileName - 文件名
Returns:
xArr - x数据集
yArr - y数据集
"""
numFeat = len(open(fileName).readline().split(' ')) - 1
xArr = []; yArr = []
fr = open(fileName)
for line in fr.readlines():
lineArr =[]
curLine = line.strip().split(' ')
for i in range(numFeat):
lineArr.append(float(curLine[i]))
xArr.append(lineArr)
yArr.append(float(curLine[-1]))
return xArr, yArr
# 绘制数据集
def plotDataSet():
xArr, yArr = loadDataSet('ex0.txt') #加载数据集
n = len(xArr) #数据个数
xcord = []; ycord = [] #样本点
for i in range(n):
xcord.append(xArr[i][1]); ycord.append(yArr[i]) #样本点
fig = plt.figure()
ax = fig.add_subplot(111) #添加subplot
ax.scatter(xcord, ycord, s = 20, c = 'blue',alpha = .5) #绘制样本点
plt.title('DataSet') #绘制title
plt.xlabel('X')
plt.ylabel('Y')
plt.show()
if __name__ == '__main__':
plotDataSet()

通过可视化数据,加上推导的回归系数计算方法,求出回归系数向量,并根据回归系数向量绘制回归曲线,编写代码如下:
import matplotlib.pyplot as plt
import numpy as np
# 加载数据
def loadDataSet(fileName):
"""
Parameters:
fileName - 文件名
Returns:
xArr - x数据集
yArr - y数据集
"""
numFeat = len(open(fileName).readline().split(' ')) - 1
xArr = []; yArr = []
fr = open(fileName)
for line in fr.readlines():
lineArr =[]
curLine = line.strip().split(' ')
for i in range(numFeat):
lineArr.append(float(curLine[i]))
xArr.append(lineArr)
yArr.append(float(curLine[-1]))
return xArr, yArr
# 计算回归系数w
def standRegres(xArr,yArr):
"""
Parameters:
xArr - x数据集
yArr - y数据集
Returns:
ws - 回归系数
"""
xMat = np.mat(xArr); yMat = np.mat(yArr).T
xTx = xMat.T * xMat #根据文中推导的公示计算回归系数
if np.linalg.det(xTx) == 0.0:
print("矩阵为奇异矩阵,不能求逆")
return
ws = xTx.I * (xMat.T*yMat)
return ws
# 绘制回归曲线和数据点
def plotRegression():
xArr, yArr = loadDataSet('ex0.txt') #加载数据集
ws = standRegres(xArr, yArr) #计算回归系数
xMat = np.mat(xArr) #创建xMat矩阵
yMat = np.mat(yArr) #创建yMat矩阵
xCopy = xMat.copy() #深拷贝xMat矩阵
xCopy.sort(0) #排序
yHat = xCopy * ws #计算对应的y值
fig = plt.figure()
ax = fig.add_subplot(111) #添加subplot
ax.plot(xCopy[:, 1], yHat, c = 'red') #绘制回归曲线
ax.scatter(xMat[:,1].flatten().A[0], yMat.flatten().A[0], s = 20, c = 'blue',alpha = .5) #绘制样本点
plt.title('DataSet') #绘制title
plt.xlabel('X')
plt.ylabel('Y')
plt.show()
if __name__ == '__main__':
plotRegression()

几乎任一数据集都可以用上述方法建立模型,那么,如何判断这些模型的好坏呢?

比较一下上图的两个子图,如果在两个数据集上分别作线性回归,将得到完全一样的模型(拟合直线)。显然两个数据是不一样的,那么模型分别在二者上的效果如何?我们当如何比较这些效果的好坏呢?
有种方法可以计算预测值yHat序列和真实值y序列的匹配程度,那就是计算这两个序列的相关系数。在Python中,NumPy库提供了相关系数的计算方法:可以通过命令 corrcoef(yEstimate, yActual) 来计算预测值和真实值的相关性。
import numpy as np
# 加载数据
def loadDataSet(fileName):
"""
Parameters:
fileName - 文件名
Returns:
xArr - x数据集
yArr - y数据集
"""
numFeat = len(open(fileName).readline().split(' ')) - 1
xArr = []; yArr = []
fr = open(fileName)
for line in fr.readlines():
lineArr =[]
curLine = line.strip().split(' ')
for i in range(numFeat):
lineArr.append(float(curLine[i]))
xArr.append(lineArr)
yArr.append(float(curLine[-1]))
return xArr, yArr
# 计算回归系数w
def standRegres(xArr,yArr):
"""
Parameters:
xArr - x数据集
yArr - y数据集
Returns:
ws - 回归系数
"""
xMat = np.mat(xArr); yMat = np.mat(yArr).T
xTx = xMat.T * xMat #根据文中推导的公示计算回归系数
if np.linalg.det(xTx) == 0.0:
print("矩阵为奇异矩阵,不能求逆")
return
ws = xTx.I * (xMat.T*yMat)
return ws
if __name__ == '__main__':
xArr, yArr = loadDataSet('ex0.txt') #加载数据集
ws = standRegres(xArr, yArr) #计算回归系数
xMat = np.mat(xArr) #创建xMat矩阵
yMat = np.mat(yArr) #创建yMat矩阵
yHat = xMat * ws
print(np.corrcoef(yHat.T, yMat))

该矩阵包含所有两两组合的相关系数。可以看到,对角线上的数据是1.0,因为yMat和自己的匹配是最完美的,而YHat和yMat的相关系数为0.98。
最佳拟合直线方法将数据视为直线进行建模,具有十分不错的表现。但是拟合图像的数据当中似乎还存在其他的潜在模式。那么如何才能利用这些模式呢?我们可以根据数据来局部调整预测,下面就会介绍这种方法。
3、局部加权线性回归
线性回归的一个问题是有可能出现欠拟合现象,因为它求的是 具有最小均方误差的无偏估计。显而易见,如果模型欠拟合将不能取得最好的预测效果。所以有些方法允许在估计中引入一些偏差,从而降低预测的均方误差。
其中的一个方法是 局部加权线性回归(Locally Weighted Linear Regression,LWLR)。在该算法中,我们给待预测点附近的每个点赋予一定的权重;然后在这个子集上基于最小均方差来进行普通的回归。与kNN一样,这种算法每次预测均需要事先选取出对应的数据子集。该算法解出回归系数w的形式如下:

其中w是一个矩阵,用来给每个数据点赋予权重。
LWLR 使用“核”(与支持向量机中的“核”类似)来对附近的点赋予更高的权重。核的类型可以自由选择,最常用的核就是高斯核,高斯核对应的权重如下:

这样就构建了一个只含对角元素的权重矩阵w,并且点x与x(i)越近,w(i,i)将会越大。上述公式包含一个需要用户指定的参数k,它决定了对附近的点赋予多大的权重,这也是使用LWLR时唯一需要考虑的参数,代码如下:
from matplotlib.font_manager import FontProperties
import matplotlib.pyplot as plt
import numpy as np
# 加载数据
def loadDataSet(fileName):
"""
Parameters:
fileName - 文件名
Returns:
xArr - x数据集
yArr - y数据集
"""
numFeat = len(open(fileName).readline().split(' ')) - 1
xArr = []; yArr = []
fr = open(fileName)
for line in fr.readlines():
lineArr =[]
curLine = line.strip().split(' ')
for i in range(numFeat):
lineArr.append(float(curLine[i]))
xArr.append(lineArr)
yArr.append(float(curLine[-1]))
return xArr, yArr
# 绘制多条局部加权回归曲线
def plotlwlrRegression():
font = FontProperties(fname=r"c:windowsfontssimsun.ttc", size=14)
xArr, yArr = loadDataSet('ex0.txt') #加载数据集
yHat_1 = lwlrTest(xArr, xArr, yArr, 1.0) #根据局部加权线性回归计算yHat
yHat_2 = lwlrTest(xArr, xArr, yArr, 0.01) #根据局部加权线性回归计算yHat
yHat_3 = lwlrTest(xArr, xArr, yArr, 0.003) #根据局部加权线性回归计算yHat
xMat = np.mat(xArr) #创建xMat矩阵
yMat = np.mat(yArr) #创建yMat矩阵
srtInd = xMat[:, 1].argsort(0) #排序,返回索引值
xSort = xMat[srtInd][:,0,:]
fig, axs = plt.subplots(nrows=3, ncols=1,sharex=False, sharey=False, figsize=(10,8))
axs[0].plot(xSort[:, 1], yHat_1[srtInd], c = 'red') #绘制回归曲线
axs[1].plot(xSort[:, 1], yHat_2[srtInd], c = 'red') #绘制回归曲线
axs[2].plot(xSort[:, 1], yHat_3[srtInd], c = 'red') #绘制回归曲线
axs[0].scatter(xMat[:,1].flatten().A[0], yMat.flatten().A[0], s = 20, c = 'blue', alpha = .5) #绘制样本点
axs[1].scatter(xMat[:,1].flatten().A[0], yMat.flatten().A[0], s = 20, c = 'blue', alpha = .5) #绘制样本点
axs[2].scatter(xMat[:,1].flatten().A[0], yMat.flatten().A[0], s = 20, c = 'blue', alpha = .5) #绘制样本点
#设置标题,x轴label,y轴label
axs0_title_text = axs[0].set_title(u'局部加权回归曲线,k=1.0',FontProperties=font)
axs1_title_text = axs[1].set_title(u'局部加权回归曲线,k=0.01',FontProperties=font)
axs2_title_text = axs[2].set_title(u'局部加权回归曲线,k=0.003',FontProperties=font)
plt.setp(axs0_title_text, size=8, weight='bold', color='red')
plt.setp(axs1_title_text, size=8, weight='bold', color='red')
plt.setp(axs2_title_text, size=8, weight='bold', color='red')
plt.xlabel('X')
plt.show()
# 使用局部加权线性回归计算回归系数w
def lwlr(testPoint, xArr, yArr, k = 1.0):
"""
Parameters:
testPoint - 测试样本点
xArr - x数据集
yArr - y数据集
k - 高斯核的k,自定义参数
Returns:
ws - 回归系数
"""
xMat = np.mat(xArr); yMat = np.mat(yArr).T
m = np.shape(xMat)[0]
weights = np.mat(np.eye((m))) #创建权重对角矩阵
for j in range(m): #遍历数据集计算每个样本的权重
diffMat = testPoint - xMat[j, :]
weights[j, j] = np.exp(diffMat * diffMat.T/(-2.0 * k**2))
xTx = xMat.T * (weights * xMat)
if np.linalg.det(xTx) == 0.0:
print("矩阵为奇异矩阵,不能求逆")
return
ws = xTx.I * (xMat.T * (weights * yMat)) #计算回归系数
return testPoint * ws
# 局部加权线性回归测试
def lwlrTest(testArr, xArr, yArr, k=1.0):
"""
Parameters:
testArr - 测试数据集
xArr - x数据集
yArr - y数据集
k - 高斯核的k,自定义参数
Returns:
ws - 回归系数
"""
m = np.shape(testArr)[0] #计算测试数据集大小
yHat = np.zeros(m)
for i in range(m): #对每个样本点进行预测
yHat[i] = lwlr(testArr[i],xArr,yArr,k)
return yHat
if __name__ == '__main__':
plotlwlrRegression()

使用3种不同平滑值绘出的局部加权线性回归结果。上图中的平滑参数k =1.0,中图k = 0.01,下图k = 0.003。可以看到,k = 1.0时的模型效果与最小二乘法差不多,k = 0.01时该模型可以挖出数据的潜在规律,而k = 0.003时则考虑了太多的噪声,进而导致了过拟合现象。
局部加权线性回归也存在一个问题,即增加了计算量,因为它对每个点做预测时都必须使用整个数据集。如果避免这些计算将可以减少程序运行时间,从而缓解因计算量增加带来的问题。
4、示例:预测鲍鱼的年龄
在abalone.txt文件中记录了鲍鱼(一种介壳类水生动物)的年龄,鲍鱼年龄可以从鲍鱼壳的层数推算得到。可以看一下数据。

可以看到,数据集是多维的,所以很难画出它的分布情况,而且每个维度数据的代表的含义没有给出,不过最后一列是y值。
from matplotlib.font_manager import FontProperties
import matplotlib.pyplot as plt
import numpy as np
# 加载数据
def loadDataSet(fileName):
"""
Parameters:
fileName - 文件名
Returns:
xArr - x数据集
yArr - y数据集
"""
numFeat = len(open(fileName).readline().split(' ')) - 1
xArr = []; yArr = []
fr = open(fileName)
for line in fr.readlines():
lineArr =[]
curLine = line.strip().split(' ')
for i in range(numFeat):
lineArr.append(float(curLine[i]))
xArr.append(lineArr)
yArr.append(float(curLine[-1]))
return xArr, yArr
# 使用局部加权线性回归计算回归系数w
def lwlr(testPoint, xArr, yArr, k = 1.0):
"""
Parameters:
testPoint - 测试样本点
xArr - x数据集
yArr - y数据集
k - 高斯核的k,自定义参数
Returns:
ws - 回归系数
"""
xMat = np.mat(xArr); yMat = np.mat(yArr).T
m = np.shape(xMat)[0]
weights = np.mat(np.eye((m))) #创建权重对角矩阵
for j in range(m): #遍历数据集计算每个样本的权重
diffMat = testPoint - xMat[j, :]
weights[j, j] = np.exp(diffMat * diffMat.T/(-2.0 * k**2))
xTx = xMat.T * (weights * xMat)
if np.linalg.det(xTx) == 0.0:
print("矩阵为奇异矩阵,不能求逆")
return
ws = xTx.I * (xMat.T * (weights * yMat)) #计算回归系数
return testPoint * ws
# 局部加权线性回归测试
def lwlrTest(testArr, xArr, yArr, k=1.0):
"""
Parameters:
testArr - 测试数据集,测试集
xArr - x数据集,训练集
yArr - y数据集,训练集
k - 高斯核的k,自定义参数
Returns:
ws - 回归系数
"""
m = np.shape(testArr)[0] #计算测试数据集大小
yHat = np.zeros(m)
for i in range(m): #对每个样本点进行预测
yHat[i] = lwlr(testArr[i],xArr,yArr,k)
return yHat
# 计算回归系数w
def standRegres(xArr,yArr):
"""
Parameters:
xArr - x数据集
yArr - y数据集
Returns:
ws - 回归系数
"""
xMat = np.mat(xArr); yMat = np.mat(yArr).T
xTx = xMat.T * xMat #根据文中推导的公示计算回归系数
if np.linalg.det(xTx) == 0.0:
print("矩阵为奇异矩阵,不能求逆")
return
ws = xTx.I * (xMat.T*yMat)
return ws
def rssError(yArr, yHatArr):
"""
误差大小评价函数
Parameters:
yArr - 真实数据
yHatArr - 预测数据
Returns:
误差大小
"""
return ((yArr - yHatArr) **2).sum()
if __name__ == '__main__':
abX, abY = loadDataSet('abalone.txt')
print('训练集与测试集相同:局部加权线性回归,核k的大小对预测的影响:')
yHat01 = lwlrTest(abX[0:99], abX[0:99], abY[0:99], 0.1)
yHat1 = lwlrTest(abX[0:99], abX[0:99], abY[0:99], 1)
yHat10 = lwlrTest(abX[0:99], abX[0:99], abY[0:99], 10)
print('k=0.1时,误差大小为:',rssError(abY[0:99], yHat01.T))
print('k=1 时,误差大小为:',rssError(abY[0:99], yHat1.T))
print('k=10 时,误差大小为:',rssError(abY[0:99], yHat10.T))
print('')
print('训练集与测试集不同:局部加权线性回归,核k的大小是越小越好吗?更换数据集,测试结果如下:')
yHat01 = lwlrTest(abX[100:199], abX[0:99], abY[0:99], 0.1)
yHat1 = lwlrTest(abX[100:199], abX[0:99], abY[0:99], 1)
yHat10 = lwlrTest(abX[100:199], abX[0:99], abY[0:99], 10)
print('k=0.1时,误差大小为:',rssError(abY[100:199], yHat01.T))
print('k=1 时,误差大小为:',rssError(abY[100:199], yHat1.T))
print('k=10 时,误差大小为:',rssError(abY[100:199], yHat10.T))
print('')
print('训练集与测试集不同:简单的线性归回与k=1时的局部加权线性回归对比:')
print('k=1时,误差大小为:', rssError(abY[100:199], yHat1.T))
ws = standRegres(abX[0:99], abY[0:99])
yHat = np.mat(abX[100:199]) * ws
print('简单的线性回归误差大小:', rssError(abY[100:199], yHat.T.A))
>>>
训练集与测试集相同:局部加权线性回归,核k的大小对预测的影响:
k=0.1时,误差大小为: 56.78868743050092
k=1 时,误差大小为: 429.89056187038
k=10 时,误差大小为: 549.1181708827924
训练集与测试集不同:局部加权线性回归,核k的大小是越小越好吗?更换数据集,测试结果如下:
k=0.1时,误差大小为: 57913.51550155911
k=1 时,误差大小为: 573.5261441895982
k=10 时,误差大小为: 517.5711905381903
训练集与测试集不同:简单的线性归回与k=1时的局部加权线性回归对比:
k=1时,误差大小为: 573.5261441895982
简单的线性回归误差大小: 518.6363153245542
可以看到,当k=0.1时,训练集误差小,但是应用于新的数据集之后,误差反而变大了。这就是经常说道的 过拟合现象。我们训练的模型,我们要保证测试集准确率高,这样训练出的模型才可以应用于新的数据,也就是要加强模型的普适性。可以看到,当k=1时,局部加权线性回归和简单的线性回归得到的效果差不多。这也表明一点,必须在未知数据上比较效果才能选取到最佳模型。那么最佳的核大小是10吗?或许是,但如果想得到更好的效果,应该用10个不同的样本集做10次测试来比较结果。
本示例展示了如何使用局部加权线性回归来构建模型,可以得到比普通线性回归更好的效果。局部加权线性回归的问题在于,每次必须在整个数据集上运行。也就是说为了做出预测,必须保存所有的训练数据。
5、缩减系数来“理解”数据
如果数据的特征比样本点还多应该怎么办?是否还可以使用线性回归和之前的方法来做预测?答案是否定的,即不能再使用前面介绍的方法。这是因为在计算 的时候会出错。如果特征比样本点还多(n > m),也就是说输入数据的矩阵X不是满秩矩阵,非满秩矩阵在求逆时会出现问题。
为了解决这个问题,统计学家引入了 岭回归(ridge regression) 的概念,这就是我们准备介绍的第一种缩减方法。接着是 lasso法,该方法效果很好但计算复杂。最后介绍了第二种缩减方法,称为 前向逐步回归,可以得到与lasso差不多的效果,且更容易实现。
1)岭回归
简单说来,岭回归就是在矩阵 上加一个 从而使得矩阵非奇异,进而能对 + λI求逆。其中矩阵I是一个m×m的单位矩阵,对角线上元素全为1,其他元素全为0。而λ是一个用户定义的数值,后面会做介绍。在这种情况下,回归系数的计算公式将变成:

岭回归最先用来处理特征数多于样本数的情况,现在也用于在估计中加入偏差,从而得到更好的估计。这里通过引入λ来限制了所有w之和,通过引入该惩罚项,能够减少不重要的参数,这个技术在统计学中也叫做 缩减(shrinkage)。
岭回归中的岭是什么?
岭回归使用了单位矩阵乘以常量λ,观察其中的单位矩阵 I,可以看到值1贯穿整个对角线,其余元素全是0。形象地,在0构成的平面上有一条1组成的“岭”,这就是岭回归中的“岭”的由来。
缩减方法可以去掉不重要的参数,因此能更好地理解数据。此外,与简单的线性回归相比,缩减法能取得更好的预测效果。
这里通过预测误差最小化得到λ:数据获取之后,首先抽一部分数据用于测试,剩余的作为训练集用于训练参数w。训练完毕后在测试集上测试预测性能。通过选取不同的λ来重复上述测试过程,最终得到一个使预测误差最小的λ。
from matplotlib.font_manager import FontProperties
import matplotlib.pyplot as plt
import numpy as np
# 加载数据
def loadDataSet(fileName):
"""
Parameters:
fileName - 文件名
Returns:
xArr - x数据集
yArr - y数据集
"""
numFeat = len(open(fileName).readline().split(' ')) - 1
xArr = []; yArr = []
fr = open(fileName)
for line in fr.readlines():
lineArr =[]
curLine = line.strip().split(' ')
for i in range(numFeat):
lineArr.append(float(curLine[i]))
xArr.append(lineArr)
yArr.append(float(curLine[-1]))
return xArr, yArr
# 岭回归
def ridgeRegres(xMat, yMat, lam = 0.2):
"""
Parameters:
xMat - x数据集
yMat - y数据集
lam - 缩减系数
Returns:
ws - 回归系数
"""
xTx = xMat.T * xMat
denom = xTx + np.eye(np.shape(xMat)[1]) * lam
if np.linalg.det(denom) == 0.0:
print("矩阵为奇异矩阵,不能转置")
return
ws = denom.I * (xMat.T * yMat)
return ws
# 岭回归测试
def ridgeTest(xArr, yArr):
"""
Parameters:
xMat - x数据集
yMat - y数据集
Returns:
wMat - 回归系数矩阵
"""
xMat = np.mat(xArr); yMat = np.mat(yArr).T
#数据标准化
yMean = np.mean(yMat, axis = 0) #行与行操作,求均值
yMat = yMat - yMean #数据减去均值
xMeans = np.mean(xMat, axis = 0) #行与行操作,求均值
xVar = np.var(xMat, axis = 0) #行与行操作,求方差
xMat = (xMat - xMeans) / xVar #数据减去均值除以方差实现标准化
numTestPts = 30 #30个不同的lambda测试
wMat = np.zeros((numTestPts, np.shape(xMat)[1])) #初始回归系数矩阵
for i in range(numTestPts): #改变lambda计算回归系数
ws = ridgeRegres(xMat, yMat, np.exp(i - 10)) #lambda以e的指数变化,最初是一个非常小的数,
wMat[i, :] = ws.T #计算回归系数矩阵
return wMat
# 绘制岭回归系数矩阵
def plotwMat():
font = FontProperties(fname=r"c:windowsfontssimsun.ttc", size=14)
abX, abY = loadDataSet('abalone.txt')
redgeWeights = ridgeTest(abX, abY)
fig = plt.figure()
ax = fig.add_subplot(111)
ax.plot(redgeWeights)
ax_title_text = ax.set_title(u'log(lambada)与回归系数的关系', FontProperties = font)
ax_xlabel_text = ax.set_xlabel(u'log(lambada)', FontProperties = font)
ax_ylabel_text = ax.set_ylabel(u'回归系数', FontProperties = font)
plt.setp(ax_title_text, size = 20, weight = 'bold', color = 'red')
plt.setp(ax_xlabel_text, size = 10, weight = 'bold', color = 'black')
plt.setp(ax_ylabel_text, size = 10, weight = 'bold', color = 'black')
plt.show()
if __name__ == '__main__':
plotwMat()

运行之后应该看到一个类似上图的结果图,该图绘出了回归系数与log(λ)的关系。在最左边,即λ最小时,可以得到所有系数的原始值(与线性回归一致);而在右边,系数全部缩减成0;在中间部分的某值将可以取得最好的预测效果。为了定量地找到最佳参数值,还需要进行交叉验证。另外,要判断哪些变量对结果预测最具有影响力,在图中观察它们对应的系数大小就可以。
2)lasso
不难证明,在增加如下约束时,普通的最小二乘法回归会得到与岭回归的一样的公式:

上式限定了所有回归系数的平方和不能大于λ。使用普通的最小二乘法回归在当两个或更多的特征相关时,可能会得出一个很大的正系数和一个很大的负系数。正是因为上述限制条件的存在,使用岭回归可以避免这个问题。
与岭回归类似,另一个缩减方法lasso也对回归系数做了限定,对应的约束条件如下:

唯一的不同点在于,这个约束条件使用绝对值取代了平方和。虽然约束形式只是稍作变化,结果却大相径庭:在λ足够小的时候,一些系数会因此被迫缩减到0,这个特性可以帮助我们更好地理解数据。这两个约束条件在公式上看起来相差无几,但细微的变化却极大地增加了计算复杂度(为了在这个新的约束条件下解出回归系数,需要使用二次规划算法)。
3)前向逐步回归
前向逐步回归算法可以得到与lasso差不多的效果,但更加简单。它属于一种贪心算法,即每一步都尽可能减少误差。一开始,所有的权重都设为1,然后每一步所做的决策是对某个权重增加或减少一个很小的值。
该算法的伪代码如下所示:
数据标准化,使其分布满足0均值和单位方差
在每轮迭代过程中:
设置当前最小误差lowestError为正无穷
对每个特征:
增大或缩小:
改变一个系数得到一个新的W
计算新W下的误差
如果误差Error小于当前最小误差lowestError:设置Wbest等于当前的W
将W设置为新的Wbest
from matplotlib.font_manager import FontProperties
import matplotlib.pyplot as plt
import numpy as np
# 加载数据
def loadDataSet(fileName):
"""
Parameters:
fileName - 文件名
Returns:
xArr - x数据集
yArr - y数据集
"""
numFeat = len(open(fileName).readline().split(' ')) - 1
xArr = []; yArr = []
fr = open(fileName)
for line in fr.readlines():
lineArr =[]
curLine = line.strip().split(' ')
for i in range(numFeat):
lineArr.append(float(curLine[i]))
xArr.append(lineArr)
yArr.append(float(curLine[-1]))
return xArr, yArr
# 数据标准化
def regularize(xMat, yMat):
"""
Parameters:
xMat - x数据集
yMat - y数据集
Returns:
inxMat - 标准化后的x数据集
inyMat - 标准化后的y数据集
"""
inxMat = xMat.copy() #数据拷贝
inyMat = yMat.copy()
yMean = np.mean(yMat, 0) #行与行操作,求均值
inyMat = yMat - yMean #数据减去均值
inMeans = np.mean(inxMat, 0) #行与行操作,求均值
inVar = np.var(inxMat, 0) #行与行操作,求方差
inxMat = (inxMat - inMeans) / inVar #数据减去均值除以方差实现标准化
return inxMat, inyMat
# 计算平方误差
def rssError(yArr,yHatArr):
"""
Parameters:
yArr - 预测值
yHatArr - 真实值
Returns:
"""
return ((yArr-yHatArr)**2).sum()
# 前向逐步线性回归
def stageWise(xArr, yArr, eps = 0.01, numIt = 100):
"""
Parameters:
xArr - x输入数据
yArr - y预测数据
eps - 每次迭代需要调整的步长
numIt - 迭代次数
Returns:
returnMat - numIt次迭代的回归系数矩阵
"""
xMat = np.mat(xArr); yMat = np.mat(yArr).T #数据集
xMat, yMat = regularize(xMat, yMat) #数据标准化
m, n = np.shape(xMat)
returnMat = np.zeros((numIt, n)) #初始化numIt次迭代的回归系数矩阵
ws = np.zeros((n, 1)) #初始化回归系数矩阵
wsTest = ws.copy()
wsMax = ws.copy()
for i in range(numIt): #迭代numIt次
# print(ws.T) #打印当前回归系数矩阵
lowestError = float('inf'); #正无穷
for j in range(n): #遍历每个特征的回归系数
for sign in [-1, 1]:
wsTest = ws.copy()
wsTest[j] += eps * sign #微调回归系数
yTest = xMat * wsTest #计算预测值
rssE = rssError(yMat.A, yTest.A) #计算平方误差
if rssE < lowestError: #如果误差更小,则更新当前的最佳回归系数
lowestError = rssE
wsMax = wsTest
ws = wsMax.copy()
returnMat[i,:] = ws.T #记录numIt次迭代的回归系数矩阵
return returnMat
# 绘制岭回归系数矩阵
def plotstageWiseMat():
font = FontProperties(fname=r"c:windowsfontssimsun.ttc", size=14)
xArr, yArr = loadDataSet('abalone.txt')
returnMat = stageWise(xArr, yArr, 0.005, 1000)
fig = plt.figure()
ax = fig.add_subplot(111)
ax.plot(returnMat)
ax_title_text = ax.set_title(u'前向逐步回归:迭代次数与回归系数的关系', FontProperties = font)
ax_xlabel_text = ax.set_xlabel(u'迭代次数', FontProperties = font)
ax_ylabel_text = ax.set_ylabel(u'回归系数', FontProperties = font)
plt.setp(ax_title_text, size = 15, weight = 'bold', color = 'red')
plt.setp(ax_xlabel_text, size = 10, weight = 'bold', color = 'black')
plt.setp(ax_ylabel_text, size = 10, weight = 'bold', color = 'black')
plt.show()
if __name__ == '__main__':
plotstageWiseMat()

逐步线性回归算法的实际好处并不在于能绘出这样漂亮的图,主要的优点在于它可以帮助人们理解现有的模型并做出改进。当构建了一个模型后,可以运行该算法找出重要的特征,这样就有可能及时停止对那些不重要特征的收集。最后,如果用于测试,该算法每100次迭代后就可以构建出一个模型,可以使用类似于10折交叉验证的方法比较这些模型,最终选择使误差最小的模型。
当应用缩减方法(如逐步线性回归或岭回归)时,模型也就增加了偏差(bias),与此同时却减小了模型的方差。下一节将揭示这些概念之间的关系并分析它们对结果的影响。
6、示例:预测乐高玩具套装的价格
你对乐高(LEGO)品牌的玩具了解吗?乐高公司生产拼装类玩具,由很多大小不同的塑料插块组成。这些塑料插块的设计非常出色,不需要任何粘合剂就可以随意拼装起来。除了简单玩具之外,乐高玩具在一些成人中也很流行。一般来说,这些插块都成套出售,它们可以拼装成很多不同的东西,如船、城堡、一些著名建筑,等等。乐高公司每个套装包含的部件数目从10件到5000件不等。一种乐高套装基本上在几年后就会停产,但乐高的收藏者之间仍会在停产后彼此交易。Dangler喜欢为乐高套装估价,下面将用本章的回归技术帮助他建立一个预测模型。
示例:用回归法预测乐高套装的价格
(1) 收集数据:用Google Shopping的API收集数据。
(2) 准备数据:从返回的JSON数据中抽取价格。
(3) 分析数据:可视化并观察数据。
(4) 训练算法:构建不同的模型,采用逐步线性回归和直接的线性回归模型。
(5) 测试算法:使用交叉验证来测试不同的模型,分析哪个效果最好。
(6) 使用算法:这次练习的目标就是生成数据模型。
1)收集数据
from bs4 import BeautifulSoup
# 从页面读取数据,生成retX和retY列表
def scrapePage(retX, retY, inFile, yr, numPce, origPrc):
"""
Parameters:
retX - 数据X
retY - 数据Y
inFile - HTML文件
yr - 年份
numPce - 乐高部件数目
origPrc - 原价
Returns:
无
"""
# 打开并读取HTML文件
with open(inFile, encoding='utf-8') as f:
html = f.read()
soup = BeautifulSoup(html)
i = 1
# 根据HTML页面结构进行解析
currentRow = soup.find_all('table', r="%d" % i)
while (len(currentRow) != 0):
currentRow = soup.find_all('table', r="%d" % i)
title = currentRow[0].find_all('a')[1].text
lwrTitle = title.lower()
# 查找是否有全新标签
if (lwrTitle.find('new') > -1) or (lwrTitle.find('nisb') > -1):
newFlag = 1.0
else:
newFlag = 0.0
# 查找是否已经标志出售,我们只收集已出售的数据
soldUnicde = currentRow[0].find_all('td')[3].find_all('span')
if len(soldUnicde) == 0:
print("商品 #%d 没有出售" % i)
else:
# 解析页面获取当前价格
soldPrice = currentRow[0].find_all('td')[4]
priceStr = soldPrice.text
priceStr = priceStr.replace('$', '')
priceStr = priceStr.replace(',', '')
if len(soldPrice) > 1:
priceStr = priceStr.replace('Free shipping', '')
sellingPrice = float(priceStr)
# 去掉不完整的套装价格
if sellingPrice > origPrc * 0.5:
print("%d %d %d %f %f" % (yr, numPce, newFlag, origPrc, sellingPrice))
retX.append([yr, numPce, newFlag, origPrc])
retY.append(sellingPrice)
i += 1
currentRow = soup.find_all('table', r="%d" % i)
# 依次读取六种乐高套装的数据,并生成数据矩阵
def setDataCollect(retX, retY):
# 2006年的乐高8288,部件数目800,原价49.99
scrapePage(retX, retY, './setHtml/lego8288.html', 2006, 800, 49.99)
# 2002年的乐高10030,部件数目3096,原价269.99
scrapePage(retX, retY, './setHtml/lego10030.html', 2002, 3096, 269.99)
# 2007年的乐高10179,部件数目5195,原价499.99
scrapePage(retX, retY, './setHtml/lego10179.html', 2007, 5195, 499.99)
# 2007年的乐高10181,部件数目3428,原价199.99
scrapePage(retX, retY, './setHtml/lego10181.html', 2007, 3428, 199.99)
# 2008年的乐高10189,部件数目5922,原价299.99
scrapePage(retX, retY, './setHtml/lego10189.html', 2008, 5922, 299.99)
# 2009年的乐高10196,部件数目3263,原价249.99
scrapePage(retX, retY, './setHtml/lego10196.html', 2009, 3263, 249.99)
if __name__ == '__main__':
lgX = []
lgY = []
setDataCollect(lgX, lgY)
部分结果如下:

我们对没有的商品做了处理。这些特征分别为:出品年份、部件数目、是否为全新、原价、售价(二手交易)。
2)训练算法:建立模型
上一节从网上收集到了一些真实的数据,下面将为这些数据构建一个模型。构建出的模型可以对售价做出预测,并帮助我们理解现有数据。
import numpy as np
from bs4 import BeautifulSoup
# 页面读取数据,生成retX和retY列表
def scrapePage(retX, retY, inFile, yr, numPce, origPrc):
"""
Parameters:
retX - 数据X
retY - 数据Y
inFile - HTML文件
yr - 年份
numPce - 乐高部件数目
origPrc - 原价
Returns:
无
"""
# 打开并读取HTML文件
with open(inFile, encoding='utf-8') as f:
html = f.read()
soup = BeautifulSoup(html)
i = 1
# 根据HTML页面结构进行解析
currentRow = soup.find_all('table', r = "%d" % i)
while(len(currentRow) != 0):
currentRow = soup.find_all('table', r = "%d" % i)
title = currentRow[0].find_all('a')[1].text
lwrTitle = title.lower()
# 查找是否有全新标签
if (lwrTitle.find('new') > -1) or (lwrTitle.find('nisb') > -1):
newFlag = 1.0
else:
newFlag = 0.0
# 查找是否已经标志出售,我们只收集已出售的数据
soldUnicde = currentRow[0].find_all('td')[3].find_all('span')
if len(soldUnicde) == 0:
print("商品 #%d 没有出售" % i)
else:
# 解析页面获取当前价格
soldPrice = currentRow[0].find_all('td')[4]
priceStr = soldPrice.text
priceStr = priceStr.replace('$','')
priceStr = priceStr.replace(',','')
if len(soldPrice) > 1:
priceStr = priceStr.replace('Free shipping', '')
sellingPrice = float(priceStr)
# 去掉不完整的套装价格
if sellingPrice > origPrc * 0.5:
print("%d %d %d %f %f" % (yr, numPce, newFlag, origPrc, sellingPrice))
retX.append([yr, numPce, newFlag, origPrc])
retY.append(sellingPrice)
i += 1
currentRow = soup.find_all('table', r = "%d" % i)
# 依次读取六种乐高套装的数据,并生成数据矩阵
def setDataCollect(retX, retY):
# 2006年的乐高8288,部件数目800,原价49.99
scrapePage(retX, retY, './setHtml/lego8288.html', 2006, 800, 49.99)
# 2002年的乐高10030,部件数目3096,原价269.99
scrapePage(retX, retY, './setHtml/lego10030.html', 2002, 3096, 269.99)
# 2007年的乐高10179,部件数目5195,原价499.99
scrapePage(retX, retY, './setHtml/lego10179.html', 2007, 5195, 499.99)
# 2007年的乐高10181,部件数目3428,原价199.99
scrapePage(retX, retY, './setHtml/lego10181.html', 2007, 3428, 199.99)
# 2008年的乐高10189,部件数目5922,原价299.99
scrapePage(retX, retY, './setHtml/lego10189.html', 2008, 5922, 299.99)
# 2009年的乐高10196,部件数目3263,原价249.99
scrapePage(retX, retY, './setHtml/lego10196.html', 2009, 3263, 249.99)
# 数据标准化
def regularize(xMat, yMat):
"""
Parameters:
xMat - x数据集
yMat - y数据集
Returns:
inxMat - 标准化后的x数据集
inyMat - 标准化后的y数据集
"""
inxMat = xMat.copy() #数据拷贝
inyMat = yMat.copy()
yMean = np.mean(yMat, 0) #行与行操作,求均值
inyMat = yMat - yMean #数据减去均值
inMeans = np.mean(inxMat, 0) #行与行操作,求均值
inVar = np.var(inxMat, 0) #行与行操作,求方差
# print(inxMat)
print(inMeans)
# print(inVar)
inxMat = (inxMat - inMeans) / inVar #数据减去均值除以方差实现标准化
return inxMat, inyMat
# 计算平方误差
def rssError(yArr,yHatArr):
"""
Parameters:
yArr - 预测值
yHatArr - 真实值
Returns:
"""
return ((yArr-yHatArr)**2).sum()
# 计算回归系数w
def standRegres(xArr,yArr):
"""
Parameters:
xArr - x数据集
yArr - y数据集
Returns:
ws - 回归系数
"""
xMat = np.mat(xArr); yMat = np.mat(yArr).T
xTx = xMat.T * xMat #根据文中推导的公示计算回归系数
if np.linalg.det(xTx) == 0.0:
print("矩阵为奇异矩阵,不能转置")
return
ws = xTx.I * (xMat.T*yMat)
return ws
# 使用简单的线性回归
def useStandRegres():
lgX = []
lgY = []
setDataCollect(lgX, lgY)
data_num, features_num = np.shape(lgX)
lgX1 = np.mat(np.ones((data_num, features_num + 1)))
lgX1[:, 1:5] = np.mat(lgX)
ws = standRegres(lgX1, lgY)
print('%f%+f*年份%+f*部件数量%+f*是否为全新%+f*原价' % (ws[0],ws[1],ws[2],ws[3],ws[4]))
if __name__ == '__main__':
useStandRegres()

这个模型的预测效果非常好,但模型本身并不能令人满意。它对于数据拟合得很好,但看上去没有什么道理。从公式看,套装里零部件越多售价反而会越低。另外,该公式对新套装也有一定的惩罚。

下面使用缩减法中一种,即岭回归再进行一次实验,通过交叉验证,找到使误差最小的λ对应的回归系数。
import numpy as np
from bs4 import BeautifulSoup
import random
# 从页面读取数据,生成retX和retY列表
def scrapePage(retX, retY, inFile, yr, numPce, origPrc):
"""
Parameters:
retX - 数据X
retY - 数据Y
inFile - HTML文件
yr - 年份
numPce - 乐高部件数目
origPrc - 原价
Returns:
无
"""
# 打开并读取HTML文件
with open(inFile, encoding='utf-8') as f:
html = f.read()
soup = BeautifulSoup(html)
i = 1
# 根据HTML页面结构进行解析
currentRow = soup.find_all('table', r = "%d" % i)
while(len(currentRow) != 0):
currentRow = soup.find_all('table', r = "%d" % i)
title = currentRow[0].find_all('a')[1].text
lwrTitle = title.lower()
# 查找是否有全新标签
if (lwrTitle.find('new') > -1) or (lwrTitle.find('nisb') > -1):
newFlag = 1.0
else:
newFlag = 0.0
# 查找是否已经标志出售,我们只收集已出售的数据
soldUnicde = currentRow[0].find_all('td')[3].find_all('span')
if len(soldUnicde) == 0:
print("商品 #%d 没有出售" % i)
else:
# 解析页面获取当前价格
soldPrice = currentRow[0].find_all('td')[4]
priceStr = soldPrice.text
priceStr = priceStr.replace('$','')
priceStr = priceStr.replace(',','')
if len(soldPrice) > 1:
priceStr = priceStr.replace('Free shipping', '')
sellingPrice = float(priceStr)
# 去掉不完整的套装价格
if sellingPrice > origPrc * 0.5:
print("%d %d %d %f %f" % (yr, numPce, newFlag, origPrc, sellingPrice))
retX.append([yr, numPce, newFlag, origPrc])
retY.append(sellingPrice)
i += 1
currentRow = soup.find_all('table', r = "%d" % i)
# 岭回归
def ridgeRegres(xMat, yMat, lam = 0.2):
"""
Parameters:
xMat - x数据集
yMat - y数据集
lam - 缩减系数
Returns:
ws - 回归系数
"""
xTx = xMat.T * xMat
denom = xTx + np.eye(np.shape(xMat)[1]) * lam
if np.linalg.det(denom) == 0.0:
print("矩阵为奇异矩阵,不能转置")
return
ws = denom.I * (xMat.T * yMat)
return ws
# 依次读取六种乐高套装的数据,并生成数据矩阵
def setDataCollect(retX, retY):
# 2006年的乐高8288,部件数目800,原价49.99
scrapePage(retX, retY, './setHtml/lego8288.html', 2006, 800, 49.99)
# 2002年的乐高10030,部件数目3096,原价269.99
scrapePage(retX, retY, './setHtml/lego10030.html', 2002, 3096, 269.99)
# 2007年的乐高10179,部件数目5195,原价499.99
scrapePage(retX, retY, './setHtml/lego10179.html', 2007, 5195, 499.99)
# 2007年的乐高10181,部件数目3428,原价199.99
scrapePage(retX, retY, './setHtml/lego10181.html', 2007, 3428, 199.99)
# 2008年的乐高10189,部件数目5922,原价299.99
scrapePage(retX, retY, './setHtml/lego10189.html', 2008, 5922, 299.99)
# 2009年的乐高10196,部件数目3263,原价249.99
scrapePage(retX, retY, './setHtml/lego10196.html', 2009, 3263, 249.99)
# 数据标准化
def regularize(xMat, yMat):
"""
Parameters:
xMat - x数据集
yMat - y数据集
Returns:
inxMat - 标准化后的x数据集
inyMat - 标准化后的y数据集
"""
inxMat = xMat.copy() #数据拷贝
inyMat = yMat.copy()
yMean = np.mean(yMat, 0) #行与行操作,求均值
inyMat = yMat - yMean #数据减去均值
inMeans = np.mean(inxMat, 0) #行与行操作,求均值
inVar = np.var(inxMat, 0) #行与行操作,求方差
# print(inxMat)
print(inMeans)
# print(inVar)
inxMat = (inxMat - inMeans) / inVar #数据减去均值除以方差实现标准化
return inxMat, inyMat
# 计算平方误差
def rssError(yArr,yHatArr):
"""
Parameters:
yArr - 预测值
yHatArr - 真实值
Returns:
"""
return ((yArr-yHatArr)**2).sum()
# 计算回归系数w
def standRegres(xArr,yArr):
"""
Parameters:
xArr - x数据集
yArr - y数据集
Returns:
ws - 回归系数
"""
xMat = np.mat(xArr); yMat = np.mat(yArr).T
xTx = xMat.T * xMat #根据文中推导的公示计算回归系数
if np.linalg.det(xTx) == 0.0:
print("矩阵为奇异矩阵,不能转置")
return
ws = xTx.I * (xMat.T*yMat)
return ws
# 交叉验证岭回归
def crossValidation(xArr, yArr, numVal = 10):
"""
Parameters:
xArr - x数据集
yArr - y数据集
numVal - 交叉验证次数
Returns:
wMat - 回归系数矩阵
"""
m = len(yArr) #统计样本个数
indexList = list(range(m)) #生成索引值列表
errorMat = np.zeros((numVal,30)) #create error mat 30columns numVal rows
for i in range(numVal): #交叉验证numVal次
trainX = []; trainY = [] #训练集
testX = []; testY = [] #测试集
random.shuffle(indexList) #打乱次序
for j in range(m): #划分数据集:90%训练集,10%测试集
if j < m * 0.9:
trainX.append(xArr[indexList[j]])
trainY.append(yArr[indexList[j]])
else:
testX.append(xArr[indexList[j]])
testY.append(yArr[indexList[j]])
wMat = ridgeTest(trainX, trainY) #获得30个不同lambda下的岭回归系数
for k in range(30): #遍历所有的岭回归系数
matTestX = np.mat(testX); matTrainX = np.mat(trainX) #测试集
meanTrain = np.mean(matTrainX,0) #测试集均值
varTrain = np.var(matTrainX,0) #测试集方差
matTestX = (matTestX - meanTrain) / varTrain #测试集标准化
yEst = matTestX * np.mat(wMat[k,:]).T + np.mean(trainY) #根据ws预测y值
errorMat[i, k] = rssError(yEst.T.A, np.array(testY)) #统计误差
meanErrors = np.mean(errorMat,0) #计算每次交叉验证的平均误差
minMean = float(min(meanErrors)) #找到最小误差
bestWeights = wMat[np.nonzero(meanErrors == minMean)] #找到最佳回归系数
xMat = np.mat(xArr); yMat = np.mat(yArr).T
meanX = np.mean(xMat,0); varX = np.var(xMat,0)
unReg = bestWeights / varX #数据经过标准化,因此需要还原
print('%f%+f*年份%+f*部件数量%+f*是否为全新%+f*原价' % ((-1 * np.sum(np.multiply(meanX,unReg)) + np.mean(yMat)), unReg[0,0], unReg[0,1], unReg[0,2], unReg[0,3]))
# 岭回归测试
def ridgeTest(xArr, yArr):
"""
Parameters:
xMat - x数据集
yMat - y数据集
Returns:
wMat - 回归系数矩阵
"""
xMat = np.mat(xArr); yMat = np.mat(yArr).T
#数据标准化
yMean = np.mean(yMat, axis = 0) #行与行操作,求均值
yMat = yMat - yMean #数据减去均值
xMeans = np.mean(xMat, axis = 0) #行与行操作,求均值
xVar = np.var(xMat, axis = 0) #行与行操作,求方差
xMat = (xMat - xMeans) / xVar #数据减去均值除以方差实现标准化
numTestPts = 30 #30个不同的lambda测试
wMat = np.zeros((numTestPts, np.shape(xMat)[1])) #初始回归系数矩阵
for i in range(numTestPts): #改变lambda计算回归系数
ws = ridgeRegres(xMat, yMat, np.exp(i - 10)) #lambda以e的指数变化,最初是一个非常小的数,
wMat[i, :] = ws.T #计算回归系数矩阵
return wMat
if __name__ == '__main__':
lgX = []
lgY = []
setDataCollect(lgX, lgY)
crossValidation(lgX, lgY)

这里随机选取样本,因为其随机性,所以每次运行的结果可能略有不同。不过整体如上图所示,可以看出,它与常规的最小二乘法,即普通的线性回归没有太大差异。我们本期望找到一个更易于理解的模型,显然没有达到预期效果。
现在,我们看一下在缩减过程中回归系数是如何变化的。编写代码如下:
import numpy as np
from bs4 import BeautifulSoup
import random
# 从页面读取数据,生成retX和retY列表
def scrapePage(retX, retY, inFile, yr, numPce, origPrc):
"""
Parameters:
retX - 数据X
retY - 数据Y
inFile - HTML文件
yr - 年份
numPce - 乐高部件数目
origPrc - 原价
Returns:
无
"""
# 打开并读取HTML文件
with open(inFile, encoding='utf-8') as f:
html = f.read()
soup = BeautifulSoup(html)
i = 1
# 根据HTML页面结构进行解析
currentRow = soup.find_all('table', r = "%d" % i)
while(len(currentRow) != 0):
currentRow = soup.find_all('table', r = "%d" % i)
title = currentRow[0].find_all('a')[1].text
lwrTitle = title.lower()
# 查找是否有全新标签
if (lwrTitle.find('new') > -1) or (lwrTitle.find('nisb') > -1):
newFlag = 1.0
else:
newFlag = 0.0
# 查找是否已经标志出售,我们只收集已出售的数据
soldUnicde = currentRow[0].find_all('td')[3].find_all('span')
if len(soldUnicde) == 0:
print("商品 #%d 没有出售" % i)
else:
# 解析页面获取当前价格
soldPrice = currentRow[0].find_all('td')[4]
priceStr = soldPrice.text
priceStr = priceStr.replace('$','')
priceStr = priceStr.replace(',','')
if len(soldPrice) > 1:
priceStr = priceStr.replace('Free shipping', '')
sellingPrice = float(priceStr)
# 去掉不完整的套装价格
if sellingPrice > origPrc * 0.5:
print("%d %d %d %f %f" % (yr, numPce, newFlag, origPrc, sellingPrice))
retX.append([yr, numPce, newFlag, origPrc])
retY.append(sellingPrice)
i += 1
currentRow = soup.find_all('table', r = "%d" % i)
# 岭回归
def ridgeRegres(xMat, yMat, lam = 0.2):
"""
Parameters:
xMat - x数据集
yMat - y数据集
lam - 缩减系数
Returns:
ws - 回归系数
"""
xTx = xMat.T * xMat
denom = xTx + np.eye(np.shape(xMat)[1]) * lam
if np.linalg.det(denom) == 0.0:
print("矩阵为奇异矩阵,不能转置")
return
ws = denom.I * (xMat.T * yMat)
return ws
# 依次读取六种乐高套装的数据,并生成数据矩阵
def setDataCollect(retX, retY):
# 2006年的乐高8288,部件数目800,原价49.99
scrapePage(retX, retY, './setHtml/lego8288.html', 2006, 800, 49.99)
# 2002年的乐高10030,部件数目3096,原价269.99
scrapePage(retX, retY, './setHtml/lego10030.html', 2002, 3096, 269.99)
# 2007年的乐高10179,部件数目5195,原价499.99
scrapePage(retX, retY, './setHtml/lego10179.html', 2007, 5195, 499.99)
# 2007年的乐高10181,部件数目3428,原价199.99
scrapePage(retX, retY, './setHtml/lego10181.html', 2007, 3428, 199.99)
# 2008年的乐高10189,部件数目5922,原价299.99
scrapePage(retX, retY, './setHtml/lego10189.html', 2008, 5922, 299.99)
# 2009年的乐高10196,部件数目3263,原价249.99
scrapePage(retX, retY, './setHtml/lego10196.html', 2009, 3263, 249.99)
# 数据标准化
def regularize(xMat, yMat):
"""
Parameters:
xMat - x数据集
yMat - y数据集
Returns:
inxMat - 标准化后的x数据集
inyMat - 标准化后的y数据集
"""
inxMat = xMat.copy() #数据拷贝
inyMat = yMat.copy()
yMean = np.mean(yMat, 0) #行与行操作,求均值
inyMat = yMat - yMean #数据减去均值
inMeans = np.mean(inxMat, 0) #行与行操作,求均值
inVar = np.var(inxMat, 0) #行与行操作,求方差
# print(inxMat)
print(inMeans)
# print(inVar)
inxMat = (inxMat - inMeans) / inVar #数据减去均值除以方差实现标准化
return inxMat, inyMat
# 计算平方误差
def rssError(yArr,yHatArr):
"""
Parameters:
yArr - 预测值
yHatArr - 真实值
Returns:
"""
return ((yArr-yHatArr)**2).sum()
# 计算回归系数w
def standRegres(xArr,yArr):
"""
Parameters:
xArr - x数据集
yArr - y数据集
Returns:
ws - 回归系数
"""
xMat = np.mat(xArr); yMat = np.mat(yArr).T
xTx = xMat.T * xMat #根据文中推导的公示计算回归系数
if np.linalg.det(xTx) == 0.0:
print("矩阵为奇异矩阵,不能转置")
return
ws = xTx.I * (xMat.T*yMat)
return ws
# 岭回归测试
def ridgeTest(xArr, yArr):
"""
Parameters:
xMat - x数据集
yMat - y数据集
Returns:
wMat - 回归系数矩阵
"""
xMat = np.mat(xArr);
yMat = np.mat(yArr).T
# 数据标准化
yMean = np.mean(yMat, axis=0) # 行与行操作,求均值
yMat = yMat - yMean # 数据减去均值
xMeans = np.mean(xMat, axis=0) # 行与行操作,求均值
xVar = np.var(xMat, axis=0) # 行与行操作,求方差
xMat = (xMat - xMeans) / xVar # 数据减去均值除以方差实现标准化
numTestPts = 30 # 30个不同的lambda测试
wMat = np.zeros((numTestPts, np.shape(xMat)[1])) # 初始回归系数矩阵
for i in range(numTestPts): # 改变lambda计算回归系数
ws = ridgeRegres(xMat, yMat, np.exp(i - 10)) # lambda以e的指数变化,最初是一个非常小的数,
wMat[i, :] = ws.T # 计算回归系数矩阵
return wMat
if __name__ == '__main__':
lgX = []
lgY = []
setDataCollect(lgX, lgY)
print(ridgeTest(lgX, lgY))

这些系数是经过不同程度的缩减得到的。首先看第1行,第4项比第2项的系数大5倍,比第1项大57倍。这样看来,如果只能选择一个特征来做预测的话,我们应该选择第4个特征,也就是原始价格。如果可以选择2个特征的话,应该选择第4个和第2个特征。
这种分析方法使得我们可以挖掘大量数据的内在规律。在仅有4个特征时,该方法的效果也许并不明显;但如果有100个以上的特征,该方法就会变得十分有效:它可以指出哪个特征是关键的,而哪些特征是不重要的。
7、Sklearn构建岭回归
import numpy as np
from bs4 import BeautifulSoup
import random
# 从页面读取数据,生成retX和retY列表
def scrapePage(retX, retY, inFile, yr, numPce, origPrc):
"""
Parameters:
retX - 数据X
retY - 数据Y
inFile - HTML文件
yr - 年份
numPce - 乐高部件数目
origPrc - 原价
Returns:
无
"""
# 打开并读取HTML文件
with open(inFile, encoding='utf-8') as f:
html = f.read()
soup = BeautifulSoup(html)
i = 1
# 根据HTML页面结构进行解析
currentRow = soup.find_all('table', r = "%d" % i)
while(len(currentRow) != 0):
currentRow = soup.find_all('table', r = "%d" % i)
title = currentRow[0].find_all('a')[1].text
lwrTitle = title.lower()
# 查找是否有全新标签
if (lwrTitle.find('new') > -1) or (lwrTitle.find('nisb') > -1):
newFlag = 1.0
else:
newFlag = 0.0
# 查找是否已经标志出售,我们只收集已出售的数据
soldUnicde = currentRow[0].find_all('td')[3].find_all('span')
if len(soldUnicde) == 0:
print("商品 #%d 没有出售" % i)
else:
# 解析页面获取当前价格
soldPrice = currentRow[0].find_all('td')[4]
priceStr = soldPrice.text
priceStr = priceStr.replace('$','')
priceStr = priceStr.replace(',','')
if len(soldPrice) > 1:
priceStr = priceStr.replace('Free shipping', '')
sellingPrice = float(priceStr)
# 去掉不完整的套装价格
if sellingPrice > origPrc * 0.5:
print("%d %d %d %f %f" % (yr, numPce, newFlag, origPrc, sellingPrice))
retX.append([yr, numPce, newFlag, origPrc])
retY.append(sellingPrice)
i += 1
currentRow = soup.find_all('table', r = "%d" % i)
# 依次读取六种乐高套装的数据,并生成数据矩阵
def setDataCollect(retX, retY):
# 2006年的乐高8288,部件数目800,原价49.99
scrapePage(retX, retY, './setHtml/lego8288.html', 2006, 800, 49.99)
# 2002年的乐高10030,部件数目3096,原价269.99
scrapePage(retX, retY, './setHtml/lego10030.html', 2002, 3096, 269.99)
# 2007年的乐高10179,部件数目5195,原价499.99
scrapePage(retX, retY, './setHtml/lego10179.html', 2007, 5195, 499.99)
# 2007年的乐高10181,部件数目3428,原价199.99
scrapePage(retX, retY, './setHtml/lego10181.html', 2007, 3428, 199.99)
# 2008年的乐高10189,部件数目5922,原价299.99
scrapePage(retX, retY, './setHtml/lego10189.html', 2008, 5922, 299.99)
# 2009年的乐高10196,部件数目3263,原价249.99
scrapePage(retX, retY, './setHtml/lego10196.html', 2009, 3263, 249.99)
# 使用sklearn
def usesklearn():
from sklearn import linear_model
reg = linear_model.Ridge(alpha = .5)
lgX = []
lgY = []
setDataCollect(lgX, lgY)
reg.fit(lgX, lgY)
print('%f%+f*年份%+f*部件数量%+f*是否为全新%+f*原价' % (reg.intercept_, reg.coef_[0], reg.coef_[1], reg.coef_[2], reg.coef_[3]))
if __name__ == '__main__':
usesklearn()

还是那个部件问题,,,

8、sklearn.linear_model.Ridge
sklearn.linear_model.Ridge是一个很好的模型,决策树算法就是通过它实现的,详细的看这个博客——sklearn.linear_model.Ridge()函数解析(最清晰的解释)
9、总结
与分类一样,回归也是预测目标值的过程。回归与分类的不同点在于,前者预测连续型变量,而后者预测离散型变量。回归是统计学中最有力的工具之一。在回归方程里,求得特征对应的最佳回归系数的方法是最小化误差的平方和。给定输入矩阵X,如果 的逆存在并可以求得的话,回归法都可以直接使用。数据集上计算出的回归方程并不一定意味着它是最佳的,可以使用预测值yHat和原始值y的相关性来度量回归方程的好坏。
当数据的样本数比特征数还少时候,矩阵 的逆不能直接计算。即便当样本数比特征数多时, 的逆仍有可能无法直接计算,这是因为特征有可能高度相关。这时可以考虑使用岭回归,因为当 的逆不能计算时,它仍保证能求得回归参数。
岭回归是缩减法的一种,相当于对回归系数的大小施加了限制。另一种很好的缩减法是lasso。Lasso难以求解,但可以使用计算简便的逐步线性回归方法来求得近似结果。缩减法还可以看做是对一个模型增加偏差的同时减少方差。偏差方差折中是一个重要的概念,可以帮助我们理解现有模型并做出改进,从而得到更好的模型。
本章介绍的方法很有用。但有些时候数据间的关系可能会更加复杂,如预测值与特征之间是非线性关系,这种情况下使用线性的模型就难以拟合。下一章将介绍几种使用树结构来预测数据的方法。