408笔记完整考点篇
数据结构
时间复杂度
线性表:
具有随机存储特性,查找时间复杂度为O(1)
单链表-尾插法⭐
栈及其应用
根据限定条件判断合法性;最小容量;表达式求值;中缀表达式转化为后缀表达式过程
应用:数制转换、括号匹配、表达式求值(中缀表达式、后缀表达式)、递归调用等
循环队列(两种情况
输入/输出受限的双端队列⭐
特殊矩阵的压缩存储*
树
树的高度:log2(n)+1
- 节点数等于所有节点度加一 >> 节点为n,度数和为n-1;
- 度为m的树中,第i层之多有m^(i-1)个节点
- 高度为h的m叉树至多有(m^h-1)(m-1)个节点
- 具有n个节点的m叉树最小高度为[logm( n(m-1)+1 )]上取整
二叉树特性
- n0=n2+1
- k层至多有2^(k-1)个结点
- 高度为h,至多有2^h - 1个结点
- 具有n个结点的完全二叉树高度为log2n + 1
二叉树的遍历、编码
先序、中序、后序遍历
层次遍历:利用队列实现
线索二叉树:若无左子树,令左孩子指向前驱节点;若无右子树,令右孩子指向后继节点
数的存储结构
双亲表示法:表格形式
孩子表示法:表格链表形式
孩子兄弟表示法:二叉链表进行存储
二叉排序树:从左到右大小排序
查找
插入(构造
平衡二叉树


树与森林
相互转换:根节点当做兄弟节点,再用孩子兄弟表示法
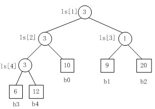
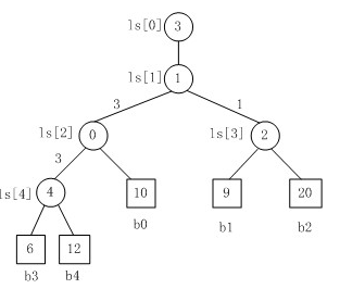
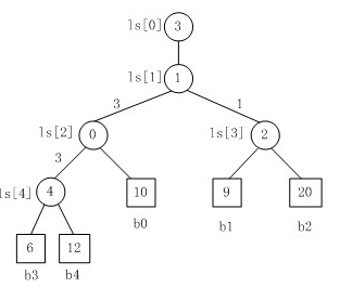
树的应用:并查集⭐
线索二叉树(空地放前后端点链接
哈夫曼树(带权路径长度最小


哈夫曼编码:使用不等长编码,减少信息存储量;0转向左孩子,1转向右孩子



图
( , )无向图,< , >有向图
图的存储
1.邻接矩阵法:适合稠密图
2.邻接表法
3.邻接多重表、十字链表
图的遍历
深度优先搜索


广度优先搜索


图的应用
最小(代价)生成树
最小生成树不唯一,最小生成树代价唯一
-
kruskal 算法

按照权值递增顺序依次构造边
- prim 算法(基于贪心算法

最短路径
迪杰斯特拉算法解决单元最短路径问题
创建定点的距离表,根据不同深度不断更新距离表

Floyd算法解决各顶点之间最短路径问题
拓扑排序
不存在回路就能构造
原理:找一个没有前驱的节点输出,并删去该节点
AOV网:数据在顶点(面向对象

关键路径
e(i)=max{}; l(i)=min{};
AOE网:数据在边上(面向过程
只有关键路径上的活动时间同时减少时,才能缩短工期
关键活动:最迟开始时间 l(i) - 最早开始时间 e(i) = 0
查找
顺序查找
分块查找(索引顺序查找
折半查找
high=mid-1; low=mid+1;仅适用于有序的顺序表
int Binary_Search(SeqList L,ElemType key,int n){
int low=0,high=n-1,mid;
while(low<=high){
mid=(low+high)/2;
if(L.elem[mid]==key)
return mid;
else if(L.elem[mid]>key)
high=mid-1;
else low=mid+1;
}
return -1;
}
二叉排序树
BiTNode *BST_Search(BiTNode *t,ElemType key){
if(t==NULL)return NULL;
else{
if(t->key=key)return t;
else if(key < t->key)return BST_Search(t->t->lchild,key);
else return BST_Search(t->rchild,key);
}
}
B树、B+树
B+树有两种查找方式,一种从上往下,一种从根节点开始的依次查找
B-树⭐
查找
插入
删除
散列表:散列函数是关键
除留余数法 、数字分析法、平方取中法
处理冲突:开放定址法、拉链法⭐


模式匹配⭐
KMP
next值计算
nextval计算
排序
对大多数内部排序仅适用于顺序存储结构
插入排序
直接插入排序
折半插入排序
希尔排序
切割子表,对每个子表进行插入排序;通过对原始数组预处理使得数组大体有序,使得最终的插入排序变得简单

交换排序
冒泡排序
快速排序:双指针(最好的内部排序
内部排序中平均性能最优

选择排序
选择最小的放前面、不稳定,可能会导致相同元素的相对位置发生变化
堆排序
删除节点时,将最后一个元素放在顶部,再逐步下沉
大根堆:从第一个非叶子节点开始构造


二路归并排序

基数排序
MSD: 最高为优先;LSD:最低位优先
内部排序比较

外部排序*(新增考点
归并排序

多路平衡树与败者树
胜者树与败者树:败者树可以加快合并序列,减小归并路数k增大的影响


置换-选择排序
生成初始归并段






最佳归并树
组织初始归并段:哈夫曼树的思想,得到好的归并顺序,使得 I/o 次数最少
当初始归并段不足以构成严格k叉树时,需添加长度为0的虚段

设度为0的个数有n0个:


操作系统
概述
开机后操作系统加载到 RAM 中
批处理交互性差
现代OS两个最基本特征:并发与共享,互为存在的条件。(虚拟异步)
不属于多道程序设计的基本特征:顺序性(为单道程序设计特征,多道竞争)
内核态用户态
管态与目态

中断、异常
主程序调用子程序完全是软件处理过程;PSW:程序状态字寄存器

访管中断:需要特权指令引起的中断(自愿中断事件),本身不是特权指令,使得用户程序能够访问管态
计算机通过硬件、中断机制完成用户态到核心态的转换,不是中断处理程序
用户态下常见指令:命令解释程序;访管指令
核心态下常见指令:进程切换;置时钟指令;广义指令(系统调用指令);输入输出;关中断指令
进程管理
进程线程

进程状态和进程控制
处理机调度

进程同步与互斥

经典同步问题
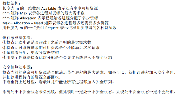
死锁
内存管理
概念
连续分配管理方式
非连续分配
虚拟页式存储管理
抖动
文件管理
目录结构
文件共享与文件保护
文件的操作
文件实现
磁盘组织与管理
设备管理
IO软件的层次结构
IO调度与缓冲区
设备分配与回收
、、、、、、、、、
计算机组成原理
计算机系统层次结构
计算机性能指标
数据
数据的表示
数据的存储
定点数的表示与运算
IEEE 754标准
各种精度数据的转换
浮点数运算
存储器层次结构
半导体随机存取存储器
主存与CPU的连接
低交叉位存储器
高速缓冲存储器(CACHE
虚拟存储器
指令系统
格式
寻址方式
CISC与RISC
中央处理器
CPU功能结构
指令执行过程
数据通路功能和结构
控制器功能与原理
指令流水线
总线
总线分布
总线性能指标
总线标准
输入输出系统
外部设备
磁盘与RAID
IO接口
程序查询方式
程序中断方式
DMA方式
、、、、、、、、、、
计算机网络
1.基本概念(分层结构)
逻辑功能上可划分为:资源子网和通信子网;其中通信子网对应物理层、数据链路层、网络层
物理组成上:硬件、软件、协议
广域网、局域网区别:覆盖范围不同;协议和网络技术不同,广~采用点对点技术,局域网采用广播技术
-
MTU:最大传输单元,物理接口提供给上层最大传输数据大小
-
MSS:TCP给IP层最大分段的大小
2.物理层传输介质
双绞线:胶合目的:减少两根导线的电磁 干扰
IEEE802.3 规定采用同轴电缆作为介质,无中继情况下,介质最大传输长度不能超过500m。
3.ISO与TCP/IP模型区别
ISO:应用层、表示层、会话层、传输层、网络层、数据链路层、物理层
TCP/IP: 应用层、传输层、网际层、网络接口层
- 网际层仅支持无连接,网络层支持无连接和面向连接
- 传输层支持无连接,ISO传输层仅支持面向连接
4.曼彻斯特编码:跃变为1

4B/5B Encoding
目标:如何在解决基线漂移和时钟漂移的同时,使编码效率尽量高一些
思想:在比特流中插入额外的比特而打破一连串的 0 或 1 方法:用 5 个比特来编码 4 个比特的数据,然后再传给接收方
5 比特代码由以下方式选定:每个代码最多有一个前导 0,并且末尾最多有 2 个 0 这样在连续传送时,在传输过程中任何一段 5 比特代码,连续的 0 最多有 3 个. 最后使用 NRZI 编码进行传输,就解决了问题
4B/5B 编码的效率为 80%
5.奈奎斯特定理、香农定理:
有关传输速率上限的两个定理(注:带宽——频率范围)
Nyquist 定理: D(比特率) = 2 f(带宽) log2 N(电压种数) 无噪音情况下的最大传输速率
Shannon 定理: C(比特率) = B log2 (1 + S(信号) / N(噪声)) 引入信噪比 = 10 * lg (S/N)
- 码元传输速率 (波特率):每秒硬件产生的电信号变化次数;
- 信息传输速率 (比特率):每秒传送的二进制位数,也叫“位速率”
- 比特率 = 波特率 * [log2 电平数]

6.电路交换、报文交换、分组交换
7.物理层接口与物理层设备
(每块网卡出厂就有全球唯一的MAC地址)
路由器可以隔离广播域(网络层设备)
交换器、网桥(链路层设备),路由器可以隔离冲突域
集线器(Hub)、中继器都不能隔离 (中继器放大数字信号,放大器放大模拟信号)
网卡实现主要功能在物理层、数据链路层
数据链路层
8.HDLC的零比特填充法:5个0加个1
高级数据链路控制协议
9.纠错检错
循环冗余码:亦或运算
海明码:位数:2^r > k+r+1;
海明距离:检错:d+1; 纠错:2d+1;
10.流量控制、可靠传输与滑动窗口机制
滑动窗口协议:停等协议、
GBN:采用累积确认,发送端收到1、3、5确认说明前5帧都已经收到
发送窗口 <= 2^n-1;
SR: 通常发送窗口与接受窗口大小相同,为2^(n-1)
令牌桶
静态信道划分:不存在碰撞
动态随机访问:CSMA/CD、CSMA/CA
CD:载波侦听、碰撞检测;争议期:信号在最远两个端点往返传输时间
CA改成碰撞避免:
方式:预约信道,发送数据同时通知所需要的时间长度
ACK帧; RTS/CTS帧,解决隐蔽站问题
12.MAC帧⭐
主机与主机的交互只认识MAC帧编号,不认识IP
同一局域网中,两个设备具有相同的静态 MAC 地址时,在网络上的两个设备都不能正确通信
14.广域网、PPP协议、HDLC协议
HDLC: 面向比特位;包含信息帧、监督帧、无编号帧
PPP: 面向字节;仅支持全双工;提供差错检测不提供纠错功能;
采用7E作为边界符进行符号填充
网络层
16.网络层功能:异构互联、路由转发、拥塞控制
17.路由算法:
静态路由与动态路由、距离-向量路由算法、链路状态路由算法、层次路由
18.IP子网划分⭐、CIDR
原因:两级地址不够灵活,每个物理网络分配一个网络号会使得路由表变得太大。划分为{<网络号>,<子网号>,<主机号>}
主机号全为0是网络本身,如202.98.174.0;全为1是网络的广播地址,如202.98.174.255
CIDR:无分类域间路由选择;
19.Ipv4数据报头文、NAT
20.ARP、ICMP、DHCP⭐
ARP地址解析协议
21.IPV6
22.路由协议:RIP、OSPF、BGP
RIP: 基于距离向量算法的路由选择协议;30秒才广播一次路由信息;
OSPF: 基于链路状态路由算法的开放最短路径协议;网络层协议,直接IP传消息,RIP是应用层协议,用UDP传消息
传输层
23.传输层功能
24.UDP
25.TCP流量控制与拥塞控制
应用层
26.客户服务器模型、p2p模型
27.DNS系统
客户服务器模型,采用UDP无连接服务
根域名服务器 > 顶级域名服务器 (.com)> 权限域名服务器(xyz.com) > 本地域名服务器(abc.xyz.com);依次发送DNS查询请求
28.FTP
采用C/S工作方式;使用两个并行的TCP连接来传输文件:持续的控制连接 (端口21)+非持续的数据连接 (端口20)
29.电子邮件

SMTP采用TCP,端口25,简单邮件传输协议:TCP持续连接,要求7比特的ASCII码进行编码
POP3采用TCP,端口110;明文传输密码,不加密
MIME进行数据格式转换
30.WWW、HTTP
http采用TCP,但是其本身,是无连接的
http1.0中,每次处理都要建立一次TCP连接,80端口
- GET :从指定的资源请求数据。
- POST :向指定的资源提交要被处理的数据
- HEAD:与GET类似,但只返回页面首部,不反回请求对象,常用于调试在这里插入图片描述


















































































