zoukankan      html  css  js  c++  java
  • 项目管理【04】 | 项目整体管理-制定项目章程

    项目整体管理是项目管理十大知识领域的第一个领域。整体管理就是将范围、进度、成本、质量、人力资源、沟通、风险和采购等几个相互影响而又制约的方面有效形成整体,为项目的整体利益而工作,并努力在各个相互冲突的目标与方案之间权衡取舍。项目整体管理包括六个过程:

    (1)制定项目章程(启动组):设定目标

    (2)制订项目管理计划(计划组):达到目的的途径

    (3)指导与管理项目执行(执行组):按照既定的计划和批准的变更执行活动达到目标,通过收集数据,形成工作绩效数据

    (4)监控项目工作(监控组):用计划的和批准的变更的标尺测量实际的项目

    (5)实施整体变更控制(监控组):启动变更,形成信息,得到工作绩效信息

    (6)结束项目或阶段(收尾组):正式结束项目或阶段,总结经验教训,形成知识管理

    以下是六个过程的输入、工具和技术、输出:

    本节着重讲述第一个过程——制定项目章程。

    1、项目章程是正式批准项目的文件。由于项目章程要授权项目经理在项目活动中动用组织的资源,所以,项目经理任何时候都应该在规划开始之前被委派,最好是在制定项目章程之时。项目章程是由项目实施组织外部签发的。

    2、项目章程的内容包括以下几方面:

    (1)项目目的或批准项目的原因

    (2)可测量的项目目标和相关的成功标准

    (3)项目的总体要求

    (4)概括性的项目描述

    (5)项目的主要风险

    (6)总体里程碑进度计划

    (7)总体预算

    (8)项目审批要求

    (9)委派的项目经理及其职责和职权

    (10)发起人或其他批准项目章程的人员的姓名和职权

    3、制定项目章程是制定一份正式批准项目或阶段的文件。项目章程的批准,标志着项目的正式启动。在项目中,应尽早确认并认命项目经理,由于项目章程将授权项目经理在项目活动中使用组织资源,项目经理应该参与制定项目章程。

    项目由项目以外的人员批准,如发起人、项目管理办公室或项目组合指导委员会,项目章程经启动者签字,即标志着项目获得批准。

    4、制定项目章程的ITO(输入、工具和技术、输出)详解:

    ①  协议。定义了启动项目的初衷,包括合同、协议、意向书等多种形式。

    ②  项目工作说明书。是对应由项目提供的产品或服务的文字说明,指明业务需求,或产品范围,或战略计划。

    ③  商业论证。从商业角度提供必要的信息,决定项目是否值得投资,包含业务需求、成本效益分析等。

    ④  事业环境因素。对项目成功有影响的环境因素和制度、文化、资源、风险承受力等。

    ⑤  组织过程资产。对项目成功有影响的资产,包括组织进行工作的过程与程序、组织整体信息存储检索知识库。

    ⑥  专家判断。具有专门知识或训练的集体或个人,将其评价和知识运用于项目管理。

    ⑦  引导技术。通过一定的工具进行指导和引导项目规划和计划阶段的制定,如头脑风暴、冲突管理、问题解决和会议管理等。

    ⑧  项目章程。是对项目名称、时间、项目经理、依据、目标、干系人等进行正式约定和批准的文件。

    另外,制定项目章程的依据和“项目选择”、“项目目标”两个命题息息相关,下面分别进行说明。

    5、项目选择方法的用途是确定组织选择哪一个项目。这些方法分为两类:

    (1)效益测定方法。如比较法、评分模型、对效益的贡献或经济学模型。

    (2)数学模型。如利用线性、非线性、动态、整数或多目标编程算法。

    财务方面的考虑通常是项目选择的重要考虑因素,对项目财务价值评价常用以下三种方法:

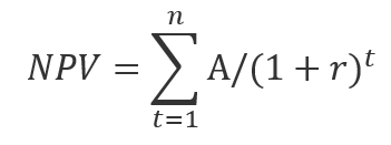
    (1)净现值分析:把所有预期的未来现金流入与流出都折算成现值,计算预期的净货币收益,为正数时项目才可以考虑。

    t为现金流的持续时间,A为每年的现金流量,r为折现率

    (2)投资收益率分析:净收入除以投资额

    ROI=(总的折现收益-总的折现成本)/折现成本

    (3)投资回收期分析:用净现金流入补偿净投资所用的时间

    6、项目启动会议是启动项目的一种常用方式。项目启动会议一般由项目经理负责组织和召开,会议目的是主要利益相关者明确项目的目标、范围、需求、背景及各自的职责与权限。

    7、项目目标是项目欲达到的境地或标准。项目目标必须要量化,是可度量的、具体的、可达到的、与企业战略目标相关的、有时间限制的。成果目标和约束目标之间经常发生矛盾,项目团队一定要分清其轻重缓急,一般来说,约束目标要让位于成果目标。

    制定项目章程是启动一个项目或阶段的必要前提。制定项目章程基本上就是将业务需求、上项目的理由、当前对顾客要求的理解,以及用来满足这些要求的产品、服务或成果形成文件,是对项目或阶段的一个宏观概括。下文中,将对项目章程进行进一步分解,以形成切实可行的项目计划,敬请期待~

    官网:http://www.lenbor.com
  • 相关阅读:
    吴裕雄--天生自然轻量级JAVA EE企业应用开发Struts2Sping4Hibernate整合开发学习笔记:Spring_EventHandler
    吴裕雄--天生自然轻量级JAVA EE企业应用开发Struts2Sping4Hibernate整合开发学习笔记:Spring_ApplicationContextAware
    吴裕雄--天生自然轻量级JAVA EE企业应用开发Struts2Sping4Hibernate整合开发学习笔记:Spring_setter
    吴裕雄--天生自然轻量级JAVA EE企业应用开发Struts2Sping4Hibernate整合开发学习笔记:Spring_constructor
    吴裕雄--天生自然轻量级JAVA EE企业应用开发Struts2Sping4Hibernate整合开发学习笔记:Spring_springQs
    吴裕雄--天生自然轻量级JAVA EE企业应用开发Struts2Sping4Hibernate整合开发学习笔记:Spring_myspring
    吴裕雄--天生自然轻量级JAVA EE企业应用开发Struts2Sping4Hibernate整合开发学习笔记:Hibernate_Interceptor
    吴裕雄--天生自然轻量级JAVA EE企业应用开发Struts2Sping4Hibernate整合开发学习笔记:Hibernate_EventFrame
    吴裕雄--天生自然轻量级JAVA EE企业应用开发Struts2Sping4Hibernate整合开发学习笔记:Hibernate_SecondCache
    吴裕雄--天生自然轻量级JAVA EE企业应用开发Struts2Sping4Hibernate整合开发学习笔记:Hibernate_QueryCache
  • 原文地址:https://www.cnblogs.com/lenbor/p/12549102.html
Copyright © 2011-2022 走看看