CEC上有很多这类函数,但是国内好像访问不了。但是可以百度得到,这里总结一些:
这个链接有更详细的函数介绍:http://www.sfu.ca/~ssurjano/optimization.html
- Ackley Function
- Bukin Function N. 6
- Cross-in-Tray Function
- Drop-Wave Function
- Eggholder Function
- Gramacy & Lee (2012) Function
- Griewank Function
- Holder Table Function
- Langermann Function
- Levy Function
- Levy Function N. 13
- Rastrigin Function
- Schaffer Function N. 2
- Schaffer Function N. 4
- Schwefel Function
- Shubert Function
- Bohachevsky Functions
- Perm Function 0, d, β
- Rotated Hyper-Ellipsoid Function
- Sphere Function
- Sum of Different Powers Function
- Sum Squares Function
- Trid Function
- Booth Function
- Matyas Function
- McCormick Function
- Power Sum Function
- Zakharov Function
- Three-Hump Camel Function
- Six-Hump Camel Function
- Dixon-Price Function
- Rosenbrock Function
- De Jong Function N. 5
- Easom Function
- Michalewicz Function
- Beale Function
- Branin Function
- Colville Function
- Forrester et al. (2008) Function
- Goldstein-Price Function
- Hartmann 3-D Function
- Hartmann 4-D Function
- Hartmann 6-D Function
- Perm Function d, β
- Powell Function
- Shekel Function
- Styblinski-Tang Function
1)单目标
|
Functions |
Function expressions |
space |
Global minimum |
Dimension |
|
h1 |
|
(-0.5,0.5) |
0 |
100 |
|
Step |
|
(-100,100) |
0 |
100 |
|
Rastrigin |
|
(-5.12,5.12) |
0 |
100 |
|
Sphere |
|
(-5.12,5.12) |
0 |
100 |
|
h5 |
|
(-1,2) |
≈-1.85n |
100 |
|
h6 |
|
(3,13) |
≈-1.21598n |
100 |
|
Ackley |
|
(-30,30) |
0 |
100 |
|
Schwefel |
|
(-500,500) |
0 |
100 |
|
h9 |
|
(-5.12,5.12) |
0 |
100 |
|
Griewank |
|
(-600,600) |
0 |
100 |
|
Michalewicz |
|
(0,) |
-9.66 |
10 |
|
Rosenbrock |
|
(-30,30) |
0 |
30 |
|
Schwefel2.21 |
|
(-100,100) |
0 |
30 |
|
h14 |
|
(-1.28,1.28) |
0 |
30 |
|
Quartic with noise |
|
(-100,100) |
0 |
30 |
|
h16 |
|
(-10,10) |
0 |
30 |
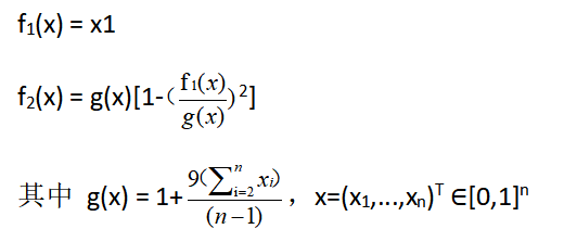
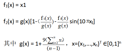
2)多目标
ZDT1


ZDT2


ZDT3


ZDT4

















