本来想用矩阵快速幂来做,无果。。。
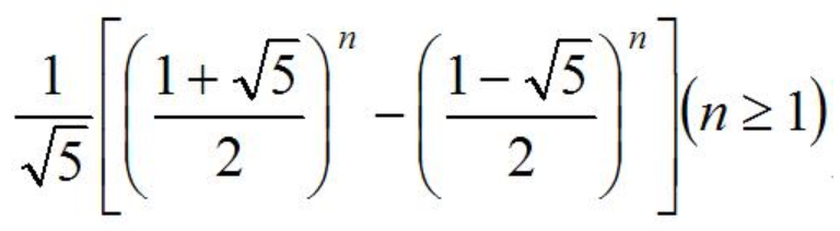
于是用:斐波拉契数列通项公式。。
由于这里数值会很大,但我们只需要前四位,所以应利用log取对数来解决
分析:
123456=1.23456*10^5;
log10(123456)=5.09151;
log10(1.23456*10^5)=log10(1.23456)+log10(10^5)=0.09151+5;
因为要取前4位,所以只用关心小数部分即可,小数点向后移动4位。
注意,(1-√5)/2)^n 由于其数值很小,所以可忽略。 先将n*log10(m)算出来,取其小数部分,再10的乘方,得整数部分为最m^n第一位数,继续乘10直到为4位数为止。
#include<stdio.h>
#include<math.h>
int main()
{
int n,f,fib[21];
double num;
fib[0]=0,fib[1]=1; //由于接下来利用公式得出来的数不是精确的,越小的数则越不精确,所以前面一些fib数自己算
for(int i=2; i<21; i++) //当n超过20时,fib数就超过4位了,所以算前21个就可以了
fib[i]=fib[i-1]+fib[i-2];
while(~scanf("%d",&n))
{
if(n<=20)
{
printf("%d
",fib[n]);
continue;
}
num=n*log10((1+sqrt(5.0))/2.0)-log10(sqrt(5.0));
num=num-int(num);
num=pow(10,num);
while(num<1000)
num*=10;
f=num; //把浮点数转为整数,防止进位
printf("%d
",f);
}
return 0;
}