可以说是做的第一道比较有难度的动态规划题

思路:
感觉是dp[n]肯定是和dp[n-1]等等有什么关系
但是没想到还挺复杂的
dp[n]可以分为第一次剪出来的和剩下的
这样就是1,dp[n-1] ;2,dp[n-2],一直到n-1,dp[1]
但是问题在于这个至少剪成2段的条件
这样剩下的既有可能是dp[n-1],也有可能就是n-1
举个例子,n=3,当第一次剪下1时,剩下既可以是dp[2],也可以是2
显然2>dp[2]
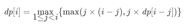
这样我们列出递推方程

j代表第一次剪下的长度
一个小疑问是总感觉这样会出现某种重复
第二个问题就是如何计算这个dp[n]了
由于是动态规划,当计算dp[n]时我们要从dp[2]算到dp[n-1],这是第一重循环
又由于每次计算都需要计算j从1到i-1这么多种情况,这是第二重循环
于是代码如下:
class Solution { public int cuttingRope(int n) { int[] dp=new int[n+1];//dp[0]到dp[n]吗? // dp[2]=1; for(int i=2;i<n+1;i++)//从dp[2]一直计算到dp[n] { int curMax=0; for(int j=1;j<i;j++)//第一次取从1取到i-1 { curMax=Math.max(curMax,Math.max(j*(i-j),j*dp[i-j])); } dp[i]=curMax; } return dp[n]; }}
这个curMax只是一种从j的各种情况中取最大的方式
问题:
什么时候用动态规划,什么时候用递归呢
二叉树的时候用过好多次递归,那些情况
感觉动态规划还是蛮难的