感谢原文作者:风坤
原文链接:https://www.cnblogs.com/fengkunangel/p/10545119.html
之前和同事在不同的分支开发一个功能的不同模块,在自己分支有用到同事分支的一些实现,被老大告诉用git cherry-pick来搞定!
git cherry-pick 能够把另一个分支的一个或多个提交复制到当前分支,具体使用如下:
首先git checkout 到另一个分支,然后使用git log找到想要复制的commit 的id,记录下来
切换到自己分支,使用git cherry-pick [上面记录的commit id] 回车即可!
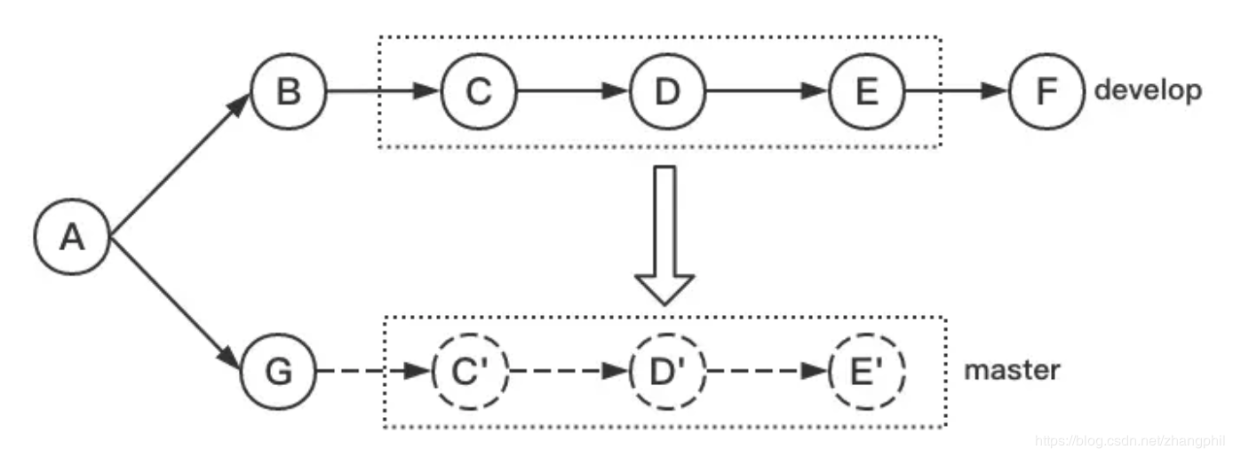
如果想要复制多个, 使用git cherry-pick [commitid1...commitid100],commitid1为想复制的最老提交(不包括),commitid100为想复制的最新提交(包括)
如果想要包括commitid1,那么在commitid1后加^即可,即 git cherry-pick [commitid1^..commitid100]
图片引自:https://blog.csdn.net/zhangphil/article/details/83787145
