一、泊松分布
日常生活中,大量事件是有固定频率的。
某医院平均每小时出生3个婴儿
某公司平均每10分钟接到1个电话
某超市平均每天销售4包xx牌奶粉
某网站平均每分钟有2次访问
它们的特点就是,我们可以预估这些事件的总数,但是没法知道具体的发生时间。已知平均每小时出生3个婴儿,请问下一个小时,会出生几个?
有可能一下子出生6个,也有可能一个都不出生。这是我们没法知道的。
泊松分布就是描述某段时间内,事件具体的发生概率。
上面就是泊松分布的公式。等号的左边,P 表示概率,N表示某种函数关系,t 表示时间,n 表示数量,1小时内出生3个婴儿的概率,就表示为 P(N(1) = 3) 。等号的右边,λ 表示事件的频率。
接下来两个小时,一个婴儿都不出生的概率是0.25%,基本不可能发生。
接下来一个小时,至少出生两个婴儿的概率是80%。
泊松分布的图形大概是下面的样子。
可以看到,在频率附近,事件的发生概率最高,然后向两边对称下降,即变得越大和越小都不太可能。每小时出生3个婴儿,这是最可能的结果,出生得越多或越少,就越不可能。
泊松分布使用范围
Poisson分布主要用于描述在单位时间(空间)中稀有事件的发生数. 即需满足以下四个条件:
1、给定区域内的特定事件产生的次数,可以是根据时间,长度,面积来定义;
2、各段相等区域内的特定事件产生的概率是一样的;
3、各区域内,事件发生的概率是相互独立的;
4、当给定区域变得非常小时,两次以上事件发生的概率趋向于0。
例如:
1、放射性物质在单位时间内的放射次数;
2、在单位容积充分摇匀的水中的细菌数;
3、野外单位空间中的某种昆虫数等。
泊松分布的期望和方差
由泊松分布知E[N(t) − N(t0)] = D[N(t) − N(t0)] = λ(t − t0)
特别的,令t_0=0.由于假设N(0)=0,故可推知泊松过程的均值函数和方差函数分别为E[N(t)] = λt,D[N(t)] = λt,
泊松过程的强度lambda (常数)等于单位长时间间隔内出现的质点数目的期望值。即对泊松分布有:E(X) = D(X) = λ
泊松分布的特征
1、泊松分布是一种描述和分析稀有事件的概率分布。要观察到这类事件,样本含量n必须很大。
2、λ是泊松分布所依赖的唯一参数。λ值愈小,分布愈偏倚,随着λ的增大,分布趋于对称。
3、当λ = 20时,分布泊松接近于正态分布;当λ = 50时,可以认为泊松分布呈正态分布。在实际工作中,当时就可以用正态分布来近似地处理泊松分布的问题。
二、指数分布
指数分布是事件的时间间隔的概率。下面这些都属于指数分布。
婴儿出生的时间间隔
来电的时间间隔
奶粉销售的时间间隔
网站访问的时间间隔
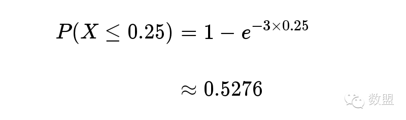
指数分布的公式可以从泊松分布推断出来。如果下一个婴儿间隔时间 t ,就等同于 t 之内没有任何婴儿出生。
反过来,事件在时间 t 之内发生的概率(至少出生一个的概率),就是1减去上面的值。
接下来15分钟,会有婴儿出生的概率是52.76%。
接下来的15分钟到30分钟,会有婴儿出生的概率是24.92%。
指数分布的图形大概是下面的样子。
可以看到,随着间隔时间变长,事件的发生概率急剧下降,呈指数式衰减。想一想,如果每小时平均出生3个婴儿,上面已经算过了,下一个婴儿间隔2小时才出生的概率是0.25%,那么间隔3小时、间隔4小时的概率,是不是更接近于0?
指数分布的概率密度为:
式中:x是给定的时间;λ为单位时间事件发生的次数;e=2.71828。
指数分布概率密度曲线如下图:
指数分布具有以下特征:
(1)随机变量X的取值范围是从0到无穷;
(2)极大值在x=0处,即f(x)=λ;
(3)函数为右偏,且随着x的增大,曲线稳步递减;
(4)随机变量的期望值和方差为µ=1/λ,σ2=1/λ2。
通过对概率密度函数的积分,就可以得到相应的概率,其表达式有两种
P(X≥x)=e-λx
P(X≤x)=1-e-λx
例:某电视机生产厂生产的电视机平均10年出现大的故障,且故障发生的次数服从泊松分布。
问(1)该电视机使用15年后还没有出现大故障的比例;(2)如果厂家想提供大故障免费维修的质量担保,但不能超过全部产量的20%,试确定提供担保的年数。
解:
(1)设X为电视机出现大故障的时间。已知µ=10年,则λ=1/µ=0.1,于是,P(X≥x)=e-λx=e-0.1*15≈0.223。则15年后,没有出现大故障的电视机约占22.3%。
(2)问题要求比例不超过20%,这是求X的右侧概率面积,现在根据公式确定适当的X值。
|
电视机各年累计出现的故障比例 |
|
|
担保年数X |
累计概率P(X≤x)=1-e-λx |
|
1 |
0.095 |
|
2 |
0.181 |
|
3 |
0.259 |
从表中可以看到:担保2年时,出现大故障的比例是18.1%,不超过20%。担保3年时,出现大故障的比例为25.9%,已经超过20%。所以,厂家应以2年为担保期。
泊松分布是二项式分布的细分,当n→∞,p非常小的时候。
