扩展欧几里得算法
扩展欧几里得算法:求同余方程
题目
给定n对正整数ai,bi,对于每对数,求出一组xi,yi,使其满足ai∗xi+bi∗yi=gcd(ai,bi)。
输入格式
第一行包含整数n。
接下来n行,每行包含两个整数ai,bi。
输出格式
输出共n行,对于每组ai,bi,求出一组满足条件的xi,yi,每组结果占一行。
本题答案不唯一,输出任意满足条件的xi,yi均可。
数据范围
1≤n≤105,
1≤ai,bi≤2∗109
输入样例:
2
4 6
8 18
输出样例:
-1 1
-2 1
思路
欧几里得算法,是用来求最大公约数的算法。
用代码实现的话很简单,就这
int gcd(int a,int b){
return b ? gcd(b, a % b) : a;
}
然后在此基础上添加两个系数,x对应a, y对应b;
int exgcd(int a, int b, int &x, int &y){
if(!b){
x = 1, y = 0;//最后一步的状态的x,y值
return a;//此时他们的最大公约数是a自己
/*度娘:“任意整数和0的公约数是该整数的所有约数它们的最大公约数为该整数本身,
因为0被所有非0整数整除,所以任意非零的整数都是0的约数”*/
}
int d = exgcd(b, a % b, y, x);//y, x反过来
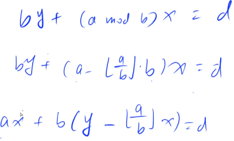
y -= a / b * x;//y的变形参照一下下面的图片里的式子
return d;
}
其中,当我们找到了最大公因数时(这个时候它就是a,b这时等于0),返回的x=1,y=0,就是此时的一组解(之后还会不断操作)。
首先我们就先找到a,b的最大公因数d,然后得到返回来的系数y,x(注意,由于b在前,所以y也在前)
然后我们再对y进行处理(看下面的变式就知道为什么要y -= a / b * x了)

注意:x,y是不唯一的,具体的解集如下:
x = x0 + b/gcd(a, b) *t
y = y0 - a/gcd(a, b) *t , t是任意整数
答案
#include<bits/stdc++.h>
using namespace std;
int exgcd(int a, int b, int &x, int &y){
if(!b){
x = 1, y = 0;
return a;
}
int d = exgcd(b, a % b, y, x);
y -= a / b * x;
return d;
}
int main(){
int n;
scanf("%d", &n);
while(n --){
int a, b, x, y;
scanf("%d%d", &a, &b);
exgcd(a, b, x, y);
printf("%d %d
", x, y);
}
return 0;
}
线性同余方程
题目
给定n组数据ai,bi,mi,对于每组数求出一个xi,使其满足ai∗xi≡bi(mod mi),如果无解则输出impossible。
输入格式
第一行包含整数n。
接下来n行,每行包含一组数据ai,bi,mi。
输出格式
输出共n行,每组数据输出一个整数表示一个满足条件的xi,如果无解则输出impossible。
每组数据结果占一行,结果可能不唯一,输出任意一个满足条件的结果均可。
输出答案必须在int范围之内。
数据范围
1≤n≤1e5,
1≤ai,bi,mi≤2∗1e9
输入样例:
2
2 3 6
4 3 5
输出样例:
impossible
7
思路
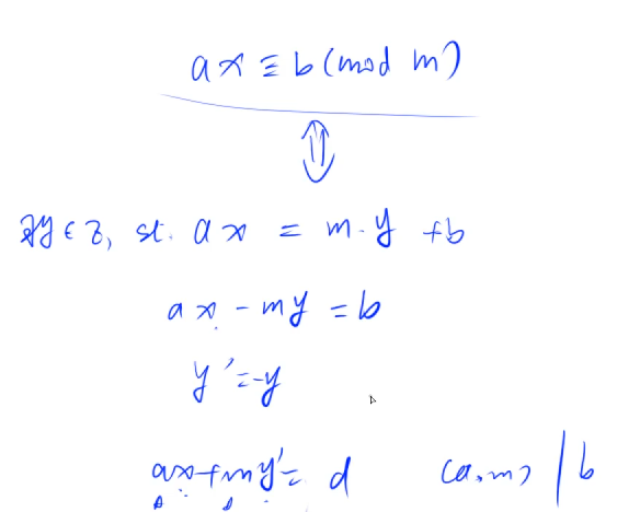
通过变形可以把题目要求的式子变成扩展欧几里得算法的式子。
这下子只要按照扩展欧几里得的思路来解题就可以了。

扩展欧几里得算法有解的前提:b是 a和m的最大公约数的倍数。
变形过程:
负号可以直接放到y里面区,因为m一定是正整数,y不做要求。
到了最后得到d,变成b只需要乘以一个 b/d 就可以了。
答案
#include<bits/stdc++.h>
using namespace std;
typedef long long ll;
int exgcd(int a, int b, int &x, int &y){
if(!b){
x = 1, y = 0;
return a;
}
int d = exgcd(b, a % b, y, x);
y -= a / b * x;
return d;
}
int main(){
int n;
cin >> n;
while(n --){
int a, b, m;
scanf("%d%d%d", &a, &b, &m);
int x, y;
int d = exgcd(a, m, x, y);
if(b % d) puts("impossible");
else printf("%d
", (ll)x * (b / d) % m);
}
return 0;
}