zoukankan      html  css  js  c++  java
  • 剑指offer-复杂链表的复制

    描述

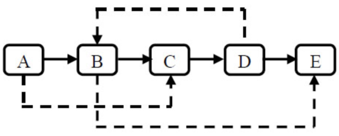
    输入一个复杂链表(每个节点中有节点值,以及两个指针,一个指向下一个节点,另一个特殊指针random指向一个随机节点),请对此链表进行深拷贝,并返回拷贝后的头结点。(注意,输出结果中请不要返回参数中的节点引用,否则判题程序会直接返回空)。 下图是一个含有5个结点的复杂链表。图中实线箭头表示next指针,虚线箭头表示random指针。为简单起见,指向null的指针没有画出。

    求解思路:

    1. 第一个循环先构建非随机链(即只考虑next指针),并用map记录label与新链表各节点的映射
    2. 第二个循环根据map,完善随机指针。

    代码:

     1 /*
     2 struct RandomListNode {
     3     int label;
     4     struct RandomListNode *next, *random;
     5     RandomListNode(int x) :
     6             label(x), next(NULL), random(NULL) {
     7     }
     8 };
     9 */
    10 class Solution {
    11 public:
    12     RandomListNode* Clone(RandomListNode* pHead) {
    13         //  如果把复杂链表看作随机链和非随机链,那先确定非随机链
    14         // 然后依次检验每个节点的随机指针,读取val,通过val确定新链的随机指针
    15         // 改进:在构建非随机链表时,新建map映射 val和random(这里记录节点)
    16         std::map<int,RandomListNode*> lm;
    17         RandomListNode* newHead=NULL;
    18         RandomListNode* tail;   // 记录尾节点
    19         // 完成非随机链表的构建
    20         RandomListNode* ergNode=pHead;
    21         while(ergNode!=nullptr){
    22             RandomListNode* rn=new RandomListNode(ergNode->label);
    23             if(newHead==nullptr){
    24                 newHead=rn;
    25             }else{
    26                 tail->next=rn;
    27             }
    28             tail=rn;
    29             // 构建label和node的映射
    30             // lm.insert(pair<int,RandomListNode*>(rn->label,rn));
    31             lm[rn->label]=rn;
    32             ergNode=ergNode->next;
    33         }
    34         // 再用一个循环完成随机链表的构建
    35         ergNode=pHead;  // 遍历原有链表
    36         RandomListNode* repNode=newHead;  // 补充现有链表
    37         while(ergNode!=nullptr){
    38             if(ergNode->random!=nullptr){
    39                 repNode->random=lm[ergNode->random->label];
    40                 int f=1;
    41             }
    42             ergNode=ergNode->next;
    43             repNode=repNode->next;
    44         }
    45         return newHead;
    46     }
    47 };
    心之所愿,永不相忘
  • 相关阅读:
    c# System.Object类和数据的安全转型
    计算机内存的组织方式
    c# ref和out参数
    C# 复制值类型的变量和类
    PCB 布线,直角线,差分线,蛇形线
    c# 静态方法和数据
    c# 类的知识
    appium中从activity切换到html
    No Desktop License Servers available to provide a license
    adb命令连接Android模拟器夜神模拟器
  • 原文地址:https://www.cnblogs.com/zgll/p/15072949.html
Copyright © 2011-2022 走看看