IfcReparametrisedCompositeCurveSegment在几何上与IfcCompositeCurveSegment相同,但具有额外的重新参数化功能。
注释定义符合ISO/CD 10303-42:1992
重新参数化的复合曲线段是一种特殊的复合曲线段类型,它提供了在不改变其几何结构的情况下重新定义其参数长度的能力。
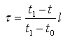
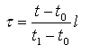
设l=参数长度。
如果t0≤t≤t1是ParentCurve的参数范围,则为新参数。对于重新参数化的复合曲线段,由以下公式给出:
if SameSense = TRUE;
or by the equation:
if SameSense = FALSE;
注:实体改编自ISO 10303-42中重新参数化的复合曲线段。
IFC4中增加的新实体。
Formal Propositions
| Rule | Description |
|---|---|
| PositiveLengthParameter | The ParamLength shall be greater than zero. |

| # | Attribute | Type | Cardinality | Description | C |
|---|---|---|---|---|---|
| IfcRepresentationItem | |||||
| LayerAssignment | IfcPresentationLayerAssignment @AssignedItems |
S[0:1] | Assignment of the representation item to a single or multiple layer(s). The LayerAssignments can override a LayerAssignments of the IfcRepresentation it is used within the list of Items. | X | |
| StyledByItem | IfcStyledItem @Item |
S[0:1] | Reference to the IfcStyledItem that provides presentation information to the representation, e.g. a curve style, including colour and thickness to a geometric curve. | X | |
| IfcGeometricRepresentationItem | |||||
| IfcCompositeCurveSegment | |||||
| 1 | Transition | IfcTransitionCode | [1:1] | The state of transition (i.e., geometric continuity from the last point of this segment to the first point of the next segment) in a composite curve. | X |
| 2 | SameSense | IfcBoolean | [1:1] | An indicator of whether or not the sense of the segment agrees with, or opposes, that of the parent curve. If SameSense is false, the point with highest parameter value is taken as the first point of the segment.
NOTE If the datatype of ParentCurve is IfcTrimmedCurve, the value of SameSense overrides the value of IfcTrimmedCurve.SenseAgreement |
X |
| 3 | ParentCurve | IfcCurve | [1:1] | The bounded curve which defines the geometry of the segment. | X |
| UsingCurves | IfcCompositeCurve @Segments |
S[1:?] | The set of composite curves which use this composite curve segment as a segment. This set shall not be empty. | X | |
| Dim :=ParentCurve.Dim |
IfcDimensionCount | [1:1] | The space dimensionality of this class, defined by the dimensionality of the first ParentCurve. | X | |
| IfcReparametrisedCompositeCurveSegment | |||||
| 4 | ParamLength | IfcParameterValue | [1:1] | X | |
EXPRESS Specification
ENTITY IfcReparametrisedCompositeCurveSegment
SUBTYPE OF (IfcCompositeCurveSegment);
ParamLength : IfcParameterValue;
WHERE
PositiveLengthParameter : ParamLength > 0.0;
END_ENTITY;
if SameSense = TRUE;
if SameSense = FALSE;