zoukankan      html  css  js  c++  java
  • 用路径分析法来编写测试用例

      熟悉测试理论的人都知道,路径覆盖是白盒测试中一种很重要的方法,广泛应用于单元测试。那么基于路径覆盖的分析方法是不是只能应用于单元测试呢,能不能将其推而广之呢。一般而言,在单元测试中,路径就是指函数代码的某个分支,而实际上如果我们将软件系统的某个流程也看成路径的话,我们将可以尝试着用路径分析的方法来设计测试用例。采用路径分析的方法设计测试用例有两点好处:一是降低了测试用例设计的难度,只要搞清了各种流程,就可以设计出高质量的测试用例来,而不用太多测试方面的经验;二是在测试时间较紧的情况下,可以有的放矢的选择测试用例,而不用完全根据经验来取舍。下面就具体的介绍一下如何用路径分析的方法编写测试用例。

      首先是将系统运行过程中所涉及到的各种流程图表化,可以先从最基本的流程入手,将流程抽象成为不同功能的顺序执行。在最基本流程的基础上再去考虑次要或者异常的流程,这样将各种流程逐渐细化,这样既可以逐渐加深对流程的理解,还可以将各个看似孤立的流程关联起来。完成所有流程的图表化后就完成了所有路径的设定。

      找出了所有的路径,下面的工作就是给每条路径设定优先级,这样在测试时就可以先测优先级高的,再测优先级低的,在时间紧迫的情况下甚至可以考虑忽略一些低优先级的路径。优先级根据两个原则来选取:一是路径使用的频率,使用越频繁的优先级越高;二是路径的重要程度,如果失败对系统影响越大的优先级越高。将根据两个原则所分别得到的优先级相加就得到了整个路径的优先级。根据优先级的排序就可以更有针对性的进行测试。
     
      为每条路径设定好优先级后,接下来的工作就是为每条路径选取测试数据,构造测试用例。一条路径可以对应多个测试用例,在选取测试数据时,可以充分利用边界值选取等方法,通过表格将各种测试数据的输入输出对应起来,这样就完成了测试用例的设计。

      对于测试人员而言,测试用例的设计是一件非常困难的工作,而同时测试用例的设计好坏又直接关系到整个系统的设计质量。本文介绍了一种更理论化的设计方法来尽量简化这种工作,将一般应用于单元测试的路径分析方法推广到集成测试、系统测试等后续测试过程中,希望能给大家一点启示。我会将自己尝试过的一些感受以及具体例子跟在本贴之后。

      如果想让本方法很好的用在实际的工作中,那么流程就必须明确的规范的(就是有画出相应业务或者功能走向图),这样就可以极大的加快了用例编写的速度和质量,但是如果碰到没有明确流程图的时候,可能会花不少的时间去捉摸功能点的流程走向问题,这又让工作进度慢了下来(流程不明确是因为需求没有明确表述和设计没有相应流程描述),所以在实际工作中想使用这种方法来加快和改进测试用例的进度和质量,还要说服项目组尽可能的规范需求和设计的文档规范性,毕竟软件质量的控制不是我们一组人就能做到的。



     

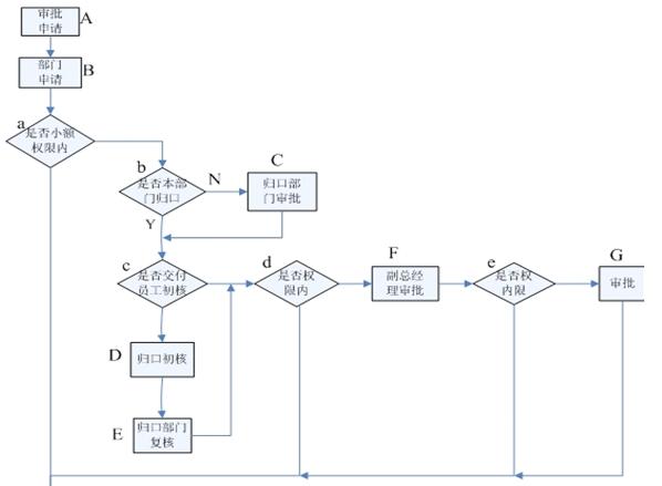
      拿到这个流程时,第一眼看上去,是不是有点晕晕的呢,确实如此,因为这不能称为标准的流程图,我们需要做一些改进,不妨事先约定,画流程图时,在有判定条件处,就往下走,而就往左走,以下是简化后的流程:
       
      

      上面这个流程图看上去是不是清晰很多,确实如此,从心理学的角度来讲,正常人的思维是很难接受一个横向很复杂的事物。而且上面的流程图也更规范一点,所以建议大家以后这样画流程图。下图是作进一步的改进:这个流程图是不是更方便你设计用例呢,尤其是用路径分析法,是不是很方便就能找出其中的路径。
     
     
      这个流程图是不是更方便你设计用例呢!尤其是用路径分析法,是不是很方便就能找出其中的路径。

  • 相关阅读:
    (转)Spring Boot 2 (五):Docker Compose + Spring Boot + Nginx + Mysql 实践
    (转)Spring Boot 2 (四):使用 Docker 部署 Spring Boot
    (转)Spring Boot 2 (三):Spring Boot 开源软件都有哪些?
    (转)Spring Boot 2 (二):Spring Boot 2 尝鲜-动态 Banner
    (转)Spring Boot 2(一):【重磅】Spring Boot 2.0权威发布
    环境变量和用户变量有什么区别?
    记录一下,关于错误提示:could not find a part of path “X:”的解决办法
    日积月累:ScrollView嵌套ListView只显示一行
    android PopupWindow实现从底部弹出或滑出选择菜单或窗口
    WCF 配置文件中的MaxStringContentLength & MaxReceivedMessageSize
  • 原文地址:https://www.cnblogs.com/shengs/p/3980350.html
Copyright © 2011-2022 走看看