zoukankan      html  css  js  c++  java
  • 24-最大间隔分类器——SVM

    有时我想:人为什么会喜新厌旧?难道不知新的总会变成旧的。又想:人为什么忽略过程只求结果?难道不知一切结果也都是虚幻的。人能把握的只有现在、此刻正在经历的点点滴滴。所以走路时千万不要忘记看风景,有时良辰美景也只是惊鸿一瞥,如果一味向前冲,早晚会为自己的鲁莽而后悔。最好的不一定总在前面,回忆往事,最好的也许就是今天、此刻的限量版。所以不用为什么远大目的而奔忙,即刻享受当下吧。

    今天学习另一种分类算法SVM(Support Vector Machine,支持向量机),它的目的是最大化分类间隔,间隔是指分离决策边界与离之最近的训练样本点之间的距离。

    • 线性可分和线性分类器

    对于一个二分类问题,如果存在至少一个超平面能够将不同类别的样本分开,我们就说这些样本是线性可分的(linear separable)。所谓超平面,就是一个比原特征空间少一个维度的子空间,在二维情况下就是一条直线(注意不能是曲线),在三维情况下就是一个平面。

    线性分类器(linear classifier)是一类通过将样本特征进行线性组合来作出分类决策的算法,它的目标就是找到一个如上所述能够分割不同类别样本的超平面。这样在预测的时候,我们就可以根据样本位于超平面的哪一边来作出决策。

    用数学语言来描述,一个线性函数可以简单表示为:f(x)=wTx+b,而线性分类器则根据线性函数的结果进行分类决策:y=g(f(x))=g(wTx+b)

    其中g(⋅)是一个将变量映射到不同类别的非线性函数,可以简单取为: 

    即分类的结果由 f(x) 的符号决定,f(x)=wTx+b=0即为分类超平面。

    下图展示了几个线性可分/不可分的例子,并且画出了一个可能的分类超平面:

    • 最大化间隔

    在样本线性可分的情况下,可行的分类超平面可能会有很多,如下图的L1、L2和L3。 

    那么怎么选择一个最好的呢?从上图我们可以直观看出,L2比另外两条分界线要更好,这是因为L2离样本的距离更远一些,让人觉得确信度更高。这好比人(相当于样本)站在离悬崖边(分类边界)越远,人就会感到越安全(分类结果是安全还是危险)。从统计的角度讲,由于正负样本可以看作从两个不同的分布随机抽样而得,若分类边界与两个分布的距离越大,抽样出的样本落在分类边界另一边的概率就会越小。

    SVM正是基于这种直观思路来确定最佳分类超平面的:通过选取能够最大化类间间隔的超平面,得到一个具有高确信度和泛化能力的分类器,即最大间隔分类器。

    • 间隔

    既然SVM的目标是最大化间隔,我们便要先对“间隔”进行定义。所谓间隔,就是分类超平面与所有样本距离的最小值,表示为:

    其中l表示分类超平面,N为样本个数,xi为第i个样本。接下来我们还需要定义样本到超平面的“距离” dist(l,x)。

    假设任意一个样本点x0,其在分类超平面上的投影记作。对于分类超平面wTx+b=0,我们知道他的法向量是w,法向量方向的单位向量可以由法向量除以其模长所得:。我们将dist(l,xi)记为d(d≥0),则可以得到:

    等式两边同时左乘wT并加上b,并且利用超平面上的点+b=0的性质,我们可以得到:

    记y∈{−1,1}为分类标签,由于y(wTx+b)=∣wTx+b∣,我们可以以此消去上式的绝对值。

    综上所述,我们可以得到对于分类超平面l和N个样本xi的“间隔”的表达式:

    • 最大化

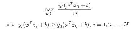
    有了上述定义的间隔,接下来的事情就很直接了——求解能使间隔最大化的参数w和b,即求解以下优化函数:

    ,上述优化函数也可以写成如下等价的形式:

    其中第二行的约束条件是为了满足对“间隔”的定义。下面我们来做一些数学上的小变换,使形式更为简洁。

    我们定义,则目标函数可写成:,约束条件可写成:,i=1,2,...,N。再用w替换,b替换,并且利用等价的原理,可以得到以下下等价的优化问题:

    • 松弛变量

    以上我们都只关心一个目的:寻找能够最大化间隔的分类超平面。然而,由于样本点中异常点的存在,只考虑这一个因素往往无法得到一个最佳的分类器。我们来看下图的例子: 

    从上图可以看出:若我们严格遵守“间隔”的限制,由于蓝色异常点的存在,最终只能得到一个间隔很小的分类超平面。反之,如果我们能够放宽对于间隔的限制,便可以一定程度的忽略异常点的影响,反而能得到间隔更大的分类超平面。

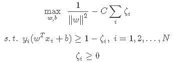
    上述容忍异常点的思路可以通过引入“松弛变量”(slack variable)实现。在原优化问题中,我们对“间隔”的限制表现在 yi(wTxi+b)≥1, i=1,2,...,N 当中。为了放宽对此的限制,我们对每个样本引入其对应的松弛变量 ζi (ζi≥0),则限制条件变为:yi(wTxi+b)≥1−ζi, i=1,2,...,N。

    从上式可以看出,若样本点xi不是异常点(满足 yi(wTxi+b)≥1),则其松弛变量ζi=0,与原限制一样。若样本点xi是异常点,只要ζi足够大,限制条件便能满足,分类超平面(由w、b决定)不受影响。直观上讲,ζi等于将异常点“拉”回原间隔处所需要移动的距离,如下图所示: 

    松弛变量的引入有助于增强模型对异常点的容忍能力,还能解决一定的数据线性不可分的问题。然而,如果不对松弛变量进行限制,得到的分类器又会变得没有用处(大量的错误分类)。因此,我们需要同时对两个目标进行优化:最大化间隔和容忍异常样本,并且引入一个平衡参数 C (C≥0)来衡量这两个方面的重要程度。引入松弛变量后的完整优化问题如下:

    最后,我们再来分析一下平衡参数 C 对求得分类超平面的影响。

    C 取无穷:ζi只能为零,代表无法容忍任何误判样本的出现,即严格遵守“间隔”的限制,得到没有引入松弛变量时的分类超平面

    C取零:ζi可以任意大,即任何误判结果都可以被容忍,得到分类超平面没有意义

    C较大:ζi不能很大,因此限制条件难以被忽略,会得到较为狭窄间隔的分类超平面

    C较小:ζi影响较小,因此限制条件可以被忽略,会得到较为宽间隔的分类超平面

    下周学习如何在scikit-learn中使用SVM分类器,敬请期待:)

  • 相关阅读:
    Java系列: JAVA字符串格式化-String.format()的使用(zz)
    Eclipse系列: 在Eclipse中用TODO标签管理任务(Task)(ZZ)
    JNDI全面总结(zz)
    Java Platform Standard Edition 8 Documentation
    JAVA NIO是什么(zz)
    Java NIO框架Mina、Netty、Grizzly介绍与对比(zz)
    Bootstrap系列 -- 25. 下拉菜单分割线
    Bootstrap系列 -- 24. 下拉菜单基本用法
    Bootstrap系列 -- 23. 图片
    Bootstrap系列 -- 22. 按钮详解
  • 原文地址:https://www.cnblogs.com/turingbrain/p/7673978.html
Copyright © 2011-2022 走看看