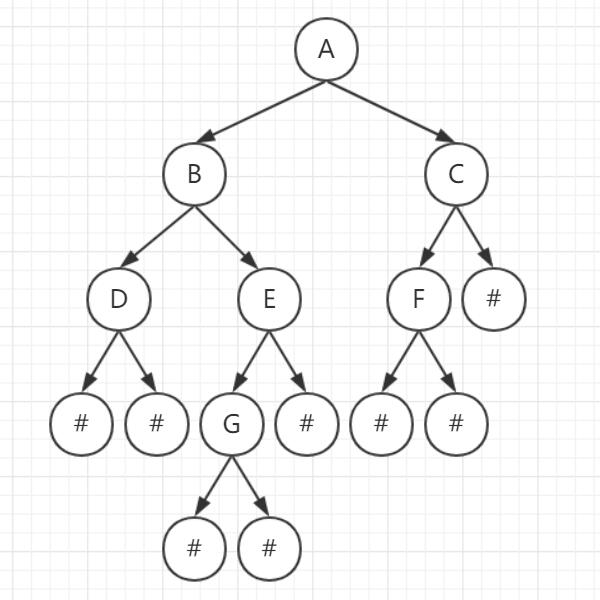
有一棵二叉树,如下图所示:

其中 # 表示空结点。
先序遍历:A B D E G C F
问题:怎么得到从根结点到任意结点的路径呢?
示例:输入 G,怎么得到从结点 A 到结点 G 的路径呢?
很明显,我们一眼就能看出来路径是 A B E G。如何通过程序得到这条路径就是我们接下来需要做的。
定义二叉树的 链式存储结构 如下:
typedef struct BiTNode {
char data;
struct BiTNode* lchild, * rchild;
}BiTNode, * BiTree;// 二叉树结点的存储结构
二叉树的遍历有三种方式:即先序遍历,中序遍历,后序遍历。
先序遍历是先访问结点再递归子树。我们只需要访问到目标结点的时候就知道了路径就可以结束递归,因此正好符合要求。另外两个也可以得到路径,但是还要先访问子树,显然是没必要的。
先序遍历可以通过递归实现,我们只需要加个容器来保存路径即可。栈 正好满足要求。由于不知道路径的长度,因此采用 链栈 来实现。
链栈 结构如下:
typedef struct StackNode {
char data;
struct StackNode* next;
}StackNode, * Stack;// 链栈
完整代码:
/*************************************************************************
实现功能: 输出从根结点到指定结点的路径
编译环境: Visual Studio 2019
更新日期: 2019年10月10日15:16:28
更新内容: 增加清空二叉树和栈的函数
优化if判断条件
博客链接: https://blog.csdn.net/pfdvnah/article/details/102387839
作者: wowpH
*************************************************************************/
#define _CRT_SECURE_NO_WARNINGS
#include<stdio.h>
#include<stdlib.h>// exit,malloc,free头文件
#define EMPTY_NODE '#'
#define TRUE 1
#define FALSE 0
#define STACK_EMPTY TRUE
#define STACK_NOT_EMPTY FALSE
#define FOUND TRUE
#define NOT_FOUND FALSE
typedef struct BiTNode {
char data;
struct BiTNode* lchild, * rchild;
}BiTNode, * BiTree;// 二叉链表
typedef struct StackNode {
char data;
struct StackNode* next;
}StackNode, * Stack;// 链栈
// 创建二叉树结点,返回创建的二叉树结点
BiTree createBiTNode();
// 创建二叉树,返回根结点
BiTree createBiTree();
// 初始化二叉树,返回根结点
BiTree initBiTree();
// 清空二叉树
void clearBiTree(BiTree T);
// 创建栈结点,返回创建的栈结点
Stack createStackNode();
// 初始化栈,返回栈的头结点
Stack initStack();
// 栈是否初始化
int isStackExist(Stack S);
// 栈是否为空
int isStackEmpty(Stack S);
// 入栈
char push(Stack S, char data);
// 出栈
char pop(Stack S);
// 查看栈顶元素
char peek(Stack S);
// 清空栈
void clearStack(Stack S);
// 寻找路径,返回是否找到目标结点
int searchPath(BiTree T, Stack S);
// 是否找到目标结点
int isFindTargetNode(Stack S);
// 显示路径
void showPath(Stack S);
// 输出路径
void outputPath(Stack S);
// 输出程序提示信息
void outputTips();
int main() {
outputTips();// 输出程序提示信息
BiTree tree = initBiTree();
Stack stack = initStack();// 头结点存储目标结点信息
searchPath(tree, stack);// 寻找路径
showPath(stack);// 输出路径信息
clearBiTree(tree);// 清空二叉树
clearStack(stack);// 清空栈
return 0;
}
/******************************** 二叉树 ********************************/
// 创建二叉树结点
BiTree createBiTNode() {
BiTree newNode = (BiTree)malloc(sizeof(BiTNode));
if (newNode == NULL) {
printf("错误(%d):创建二叉树结点错误!
", __LINE__);
exit(0);
}
newNode->lchild = NULL;
newNode->rchild = NULL;
return newNode;
}
// 创建二叉树
BiTree createBiTree() {
char ch = getchar();
if (ch != '
' && ch != EMPTY_NODE) {
BiTree T = createBiTNode();
T->data = ch;
T->lchild = createBiTree();// 左子树
T->rchild = createBiTree();// 右子树
return T;
}
return NULL;
}
// 初始化二叉树
BiTree initBiTree() {
printf("输入二叉树:");
BiTree tree = createBiTree();
char enter = getchar();
return tree;
}
// 清空二叉树
void clearBiTree(BiTree T) {
if (T != NULL) {
clearBiTree(T->lchild);
clearBiTree(T->rchild);
free(T);
}
}
/********************************** 栈 **********************************/
// 创建栈结点
Stack createStackNode() {
Stack newNode = (Stack)malloc(sizeof(StackNode));
if (newNode == NULL) {
printf("错误(%d):创建栈结点错误!
", __LINE__);
exit(0);
}
newNode->next = NULL;
return newNode;
}
// 初始化栈,并返回头结点
Stack initStack() {
printf("输入指定结点:");
char targetNode = getchar();
Stack stack = createStackNode();// 头结点存储目标结点数据
stack->data = targetNode;
return stack;
}
// 栈头结点是否存在
int isStackExist(Stack S) {
if (S == NULL) {
printf("错误(%d):栈的头结点未初始化!
", __LINE__);
exit(0);
}
return TRUE;
}
// 栈是否为空
int isStackEmpty(Stack S) {
if (isStackExist(S) == FALSE) {
return STACK_EMPTY;
}
if (S->next == NULL) {
return STACK_EMPTY;
}
return STACK_NOT_EMPTY;
}
// 入栈,data是要入栈的结点的数据
char push(Stack S, char data) {
if (isStackExist(S) == TRUE) {
Stack node = createStackNode();
node->data = data;
node->next = S->next;
S->next = node;
}
return data;
}
// 出栈,返回栈顶结点的数据
char pop(Stack S) {
char ret = STACK_EMPTY;
if (isStackEmpty(S) == STACK_NOT_EMPTY) {
Stack delete = S->next;
S->next = delete->next;
ret = delete->data;
free(delete);
}
return ret;
}
// 查看栈顶元素
char peek(Stack S) {
return isStackEmpty(S) == STACK_EMPTY ? STACK_EMPTY : S->next->data;
}
// 清空栈
void clearStack(Stack S) {
while (isStackEmpty(S) == STACK_NOT_EMPTY) {
pop(S);
}
free(S);
}
/********************************* 路径 *********************************/
// 寻找路径
int searchPath(BiTree T, Stack S) {
if (isFindTargetNode(S) == FOUND) {
return FOUND;
}
if (T == NULL) {// 空树
return NOT_FOUND;
}
push(S, T->data);
// 查找子树
if (searchPath(T->lchild, S) == FOUND) {
return FOUND;
}
if (searchPath(T->rchild, S) == FOUND) {
return FOUND;
}
pop(S);
return NOT_FOUND;
}
// 是否找到目标结点
int isFindTargetNode(Stack S) {
if (isStackEmpty(S) == STACK_NOT_EMPTY && peek(S) == S->data) {
return FOUND;
}
return NOT_FOUND;
}
// 输出路径,递归
void outputPath(Stack S) {
if (isStackEmpty(S) == STACK_NOT_EMPTY) {
outputPath(S->next);
if (isStackEmpty(S->next) == STACK_NOT_EMPTY) {
printf(" ");
}
printf("%c", S->next->data);
}
}
// 显示路径
void showPath(Stack S) {
if (isFindTargetNode(S) == FOUND) {
printf("路径:");
outputPath(S);
printf("
");
} else {
printf("未找到结点'%c'
", S->data);
}
}
// 输出提示
void outputTips() {
printf("1、先序输入二叉树
");
printf("2、空结点用'%c'表示
", EMPTY_NODE);
printf("3、Enter表示输入结束
");
printf("4、字符个数必须正确
");
}
/*************************************************************************
1、先序输入二叉树
2、空结点用'#'表示
3、Enter表示输入结束
4、字符个数必须正确
示例1:
输入二叉树:ABD##EG###CF###
输入指定结点:G
路径:A B E G
示例2:
输入二叉树:124##56##7##3##
输入指定结点:7
路径:1 2 5 7
*************************************************************************/