一、关于RNN的梯度消失&爆炸问题
1. 关于RNN结构
循环神经网络RNN(Recurrent Neural Network)是用于处理序列数据的一种神经网络,已经在自然语言处理中被广泛应用。下图为经典RNN结构:

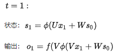
2. 关于RNN前向传播
RNN前向传导公式:
其中: St : t 时刻的隐含层状态值
Ot : t 时刻的输出值
① 是隐含层计算公式,U是输入x的权重矩阵,W是时刻t-1的状态值
St-1作为输入的权重矩阵,Φ是激活函数。
② 是输出层计算公式,V是输出层的权重矩阵,f是激活函数。
损失函数(loss function)采用交叉熵
( Ot 是t时刻预测输出,
是 t 时刻正确的输出)
那么对于一次训练任务中,损失函数:
, T 是序列总长度。
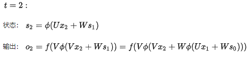
假设初始状态St为0,t=3 有三段时间序列时,由 ① 带入②可得到
t1、t2、t3 各个状态和输出



3. 关于RNN反向传播
BPTT(back-propagation through time)算法是针对循层的训练算法,它的基本原理和BP算法一样。其算法本质还是梯度下降法,那么该算法的关键就是计算各个参数的梯度,对于RNN来说参数有 U、W、V。

反向传播
可以简写成:

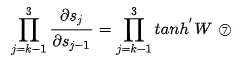
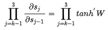
观察③④⑤式,可知,对于 V 求偏导不存在依赖问题;但是对于 W、U 求偏导的时候,由于时间序列长度,存在长期依赖的情况。主要原因可由 t=1、2、3 的情况观察得 , St会随着时间序列向前传播,同时St是 U、W 的函数。
前面得出的求偏导公式⑥,取其中累乘的部分出来,其中激活函数 Φ 通常是:tanh 则


由上图可知当激活函数是tanh函数时,tanh函数的导数最大值为1,又不可能一直都取1这种情况,而且这种情况很少出现,那么也就是说,大部分都是小于1的数在做累乘,若当t很大的时候,
趋向0,举个例子:0.850=0.00001427247也已经接近0了,这是RNN中梯度消失的原因。
但要注意:RNN 中总的梯度是不会消失的。即便梯度越传越弱,那也只是远距离的梯度消失,由于近距离的梯度不会消失,所有梯度之和便不会消失。RNN 所谓梯度消失的真正含义是,梯度被近距离梯度主导,导致模型难以学到远距离的依赖关系。
再看⑦部分:

tanh’,还需要网络参数 W ,如果参数 W 中的值太大,随着序列长度同样存在长期依赖的情况,那么产生问题就是梯度爆炸,而不是梯度消失了,在平时运用中,RNN比较深,使得梯度爆炸或者梯度消失问题会比较明显。
二、LSTM缓解梯度消失
至于怎么避免这种现象,让我在看看 梯度消失和爆炸的根本原因就是
这一坨,要消除这种情况就需要把这一坨在求偏导的过程中去掉,至于怎么去掉,一种办法就是使
另一种办法就是使
。其实这就是LSTM做的事情。
我们来看看LSTM的内部结构,包含了四个门层结构:
引用自 Stanford CS231n slides
LSTM相信很多人看过这个:[译] 理解 LSTM 网络,但是我发现cs231n的公式更加简洁,把四个门层结构的权重参数合成一个W。
求导过程比较复杂,我们先看一下这一项:
和前面一样,我们来求一下 ,这里注意
,
和
都是
的复合函数:
后面的我们就不管了,展开求导太麻烦了,第一项是什么!大声告诉我!
是forget gate的输出值,1表示完全保留旧状态,0表示完全舍弃旧状态,那如果我们把
设置成1或者是接近于1,那
这一项就有妥妥的梯度了。
因此LSTM是靠着cell结构来保留梯度,forget gate控制了对过去信息的保留程度,如果gate选择保留旧状态,那么梯度就会接近于1,可以缓解梯度消失问题。这里说缓解,是因为LSTM只是在 到
这条路上解决梯度消失问题,而其他路依然存在梯度消失问题。
而且forget gate解决了RNN中的长期依赖问题,不管网络多深,也可以记住之前的信息。
另外,LSTM可以缓解梯度消失,但是梯度爆炸并不能解决,但实际上前面也讲过,梯度爆炸不是什么大问题(阈值裁剪)。
三、GRU缓解梯度消失
LSTM内部结构比较复杂,因此衍生了简化版GRU,把LSTM的input gate和forget gate整合成一个update gate,也是通过gate机制来控制梯度:

我们还是来求一下 ,我们可以得到:
,那一串省略号我们还是不管,我们依然可以通过控制
来控制梯度。
所以,我们现在可以看到,LSTM系列都是通过gate机制来缓解梯度消失问题的。